【药物名称】Centpiperalone
化学结构式(Chemical Structure):
参考文献No.804031
标题:Centpiperalone
作者:Arya, V.P.
来源:Drugs Fut 1979,4(8),557
合成路线图解说明:

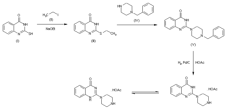
2-Mercapto-4-quinazolone (I) is treated with ethyl iodide (II) in the presence of sodium ethoxide to yield 2-ethylthio-4-quinazolone (III). Reaction of (III) with N-benzylpiperazine (IV) to give (V) and followed by catalytic debenzylation with H2 over Pd/C in glacial acetic acid affords Centpiperalone.

参考文献No.804032
标题:Muscimol analogs. II. Synthesis of some bicyclic 3-isoxazolol zwitterions
作者:Gupta, C.M.
来源:Med Chem 1968,11(3),392
合成路线图解说明:

The ethanolysis of 1-benzylpyrrolidin-2-one (I) with HCl in ethanol gives 4-(benzylamino)butyric acid ethyl ester (II), which is alkylated with ethyl bromoacetate (III), yielding the tertiary amine (IV). The cyclization of (IV) by means of sodium ethoxide affords 1-benzyl-3-hydroxy-1,2,5,6-tetrahydropyridine-4-carboxylic acid ethyl ester (V), which by hydrogenolytic debenzylation, followed by reaction with methyl chloroformate (VI), affords the 1,4-dicarboxylate (VII). The reaction of (VII) with ethyleneglycol (VIII) and TsOH gives the cyclic ketal (IX), which is treated with hydroxylamine and NaOMe to yield the carbohydroxamic acid (X). The cyclization of (X) by means of H2SO4 affords 3-hydroxy-4,5,6,7-tetrahydropyrido[4,3-d]oxazole-6-carboxylic acid methyl ester (XI), which is finally decarboxylated by means of HBr and TEA.

合成路线图解说明:

2-Mercapto-4-quinazolone (I) is treated with ethyl iodide (II) in the presence of sodium ethoxide to yield 2-ethylthio-4-quinazolone (III). Reaction of (III) with N-benzylpiperazine (IV) to give (V) and followed by catalytic debenzylation with H2 over Pd/C in glacial acetic acid affords Centpiperalone.

参考文献No.804033
标题:Resveratrol regulates IGF-II in MCF-7 human breast cancer cells
作者:Gupta, C.M.; et al.
来源:Ind J Chem 1971,9(3),201
合成路线图解说明:

2-Mercapto-4-quinazolone (I) is treated with ethyl iodide (II) in the presence of sodium ethoxide to yield 2-ethylthio-4-quinazolone (III). Reaction of (III) with N-benzylpiperazine (IV) to give (V) and followed by catalytic debenzylation with H2 over Pd/C in glacial acetic acid affords Centpiperalone.

Drug Information Express,Drug R&D,Chemical Database,Patent Search.
Copyright © 2006-2026 Drug Future. All rights reserved.Contact Us