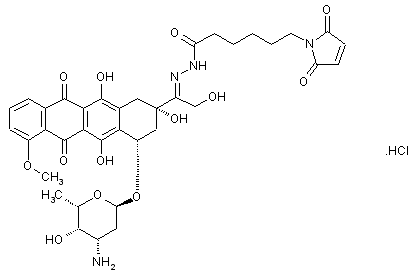
【药物名称】
化学结构式(Chemical Structure):
参考文献No.21592
标题:Thioether conjugates
作者:Willner, D.; Trail, P.A.; King, D.H.; Hofstead, S.J.; Greenfield, R.S.; Braslawsky, G.R. (Bristol-Myers Squibb Co.)
来源:EP 0554708; JP 1994025012; US 5622929
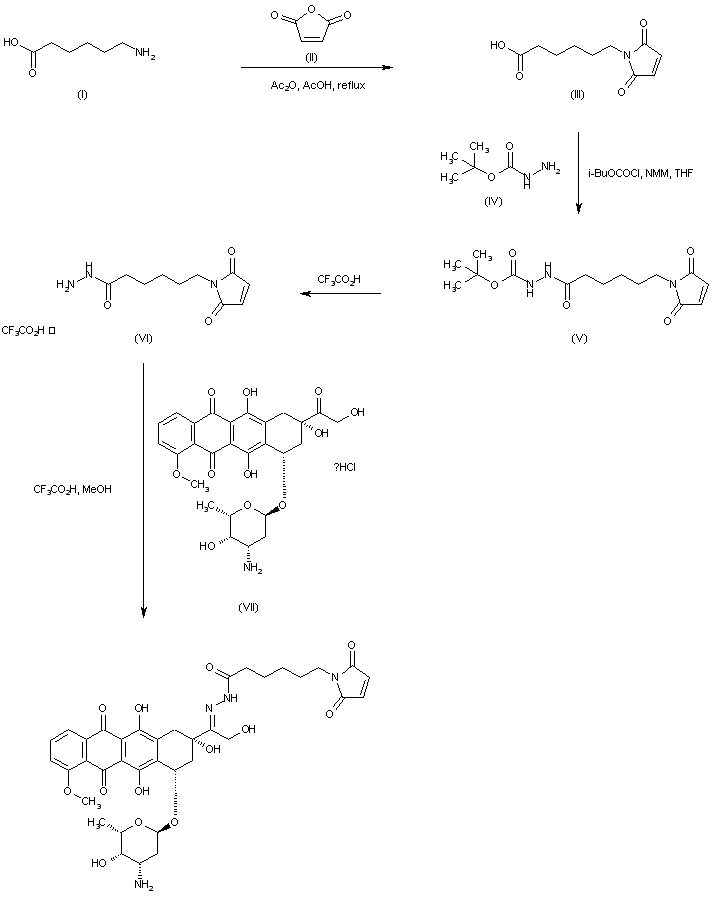
合成路线图解说明:

6-Aminocaproic acid (I) is condensed with maleic anhydride (II) in refluxing AcOH to provide maleimidocaproic acid (III). After activation of acid (III) as the corresponding mixed anhydride with isobutyl chloroformate, coupling with tert-butyl carbazate (IV) affords the N-Boc hydrazide (V). Subsequent acidic cleavage of the Boc group of (V) furnishes hydrazide (VI). Finally, hydrazide (VI) is condensed with doxorubicin (VII) to produce the title hydrazone conjugate.

参考文献No.293403
标题:(6-Maleimidocaproyl)hydrazone of doxorubicin - A new derivative for the preparation of immunoconjugates of doxorubicin
作者:Willner, D.; Trail, P.A.; Hofstead, S.J.; King, H.D.; Lasch, S.J.; Braslawsky, G.R.; Greenfield, R.S.; Kaneko, T.; Firestone, R.A.
来源:Bioconjugate Chem 1993,4(6),521
合成路线图解说明:

6-Aminocaproic acid (I) is condensed with maleic anhydride (II) in refluxing AcOH to provide maleimidocaproic acid (III). After activation of acid (III) as the corresponding mixed anhydride with isobutyl chloroformate, coupling with tert-butyl carbazate (IV) affords the N-Boc hydrazide (V). Subsequent acidic cleavage of the Boc group of (V) furnishes hydrazide (VI). Finally, hydrazide (VI) is condensed with doxorubicin (VII) to produce the title hydrazone conjugate.

Drug Information Express,Drug R&D,Chemical Database,Patent Search.
Copyright © 2006-2026 Drug Future. All rights reserved.Contact Us