【药物名称】MJ 10459-2
化学结构式(Chemical Structure):
参考文献No.804034
标题:M J 10459 - 2
作者:Casta馿r, J.; Blancafort, P.
来源:Drugs Fut 1976,1(5),250
合成路线图解说明:

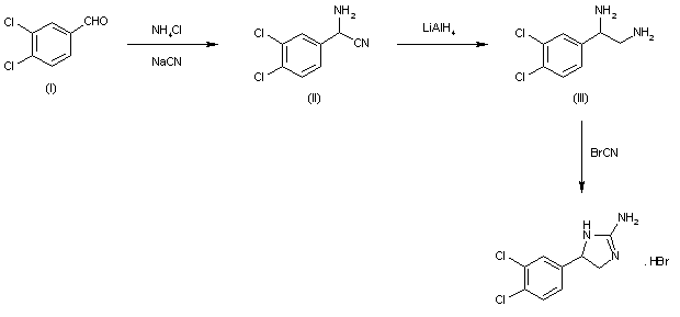
It is prepared through the following sequence: The Strecker reaction of 3,4-dichlorobenzaldehyde (I) with sodium cyanide and NH4Cl affords alpha-amino-3,4-dichlorophenylacetonitrile (II) (HCl salt, m.p. 184-5 C), which is reduced with LiAlH4 to 2-amino-1-(3',4'-dichlorophenyl)ethylamine (III) (di HCl salt, m.p. 283-5 C). Finally compound (III) is cyclized with BrCN in benzene.

参考文献No.804035
标题:9-Cis retinoic acid enhances the effectiveness of PPARgamma-specific agonists in non-small cell lung cancer (NSCLC) cell lines
作者:Mathier, W.L.; et al.
来源:J Med Chem 1973,16901
合成路线图解说明:

It is prepared through the following sequence: The Strecker reaction of 3,4-dichlorobenzaldehyde (I) with sodium cyanide and NH4Cl affords alpha-amino-3,4-dichlorophenylacetonitrile (II) (HCl salt, m.p. 184-5 C), which is reduced with LiAlH4 to 2-amino-1-(3',4'-dichlorophenyl)ethylamine (III) (di HCl salt, m.p. 283-5 C). Finally compound (III) is cyclized with BrCN in benzene.

Drug Information Express,Drug R&D,Chemical Database,Patent Search.
Copyright © 2006-2026 Drug Future. All rights reserved.Contact Us