【药物名称】EPH-350
化学结构式(Chemical Structure):
参考文献No.703789
标题:Hydrazones derived from monosubstitued 2-acetylpyridines and 2-hydrazino-1-methylbenzimidazole: Synthesis and biological studies
作者:Easmon, J.; F黵tinger, S.; Lackner, G. ; Magreiter, E.; Hofmann, J.; Heinisch, G.; Puerstinger, G.
来源:Eur J Cancer 2002,38(Suppl. 7),
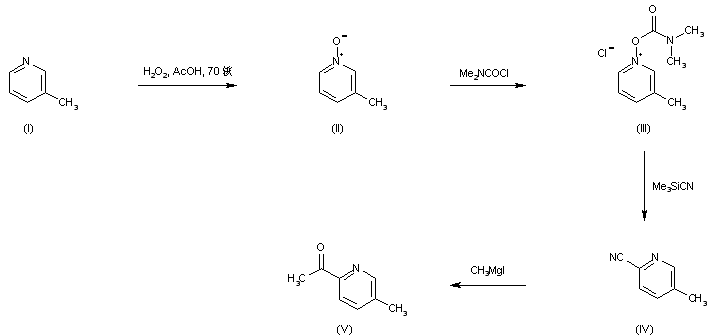
合成路线图解说明:

3-Picoline (I) is oxidized to the corresponding N-oxide (II) by means of peracetic acid. Condensation of (II) with dimethylcarbamoyl chloride furnishes carbamate (III), which is then reacted with cyanotrimethylsilane, producing 2-cyano-5-methylpyridine (IV). Subsequent addition of methylmagnesium iodide to the cyanopyridine (IV) gives rise to the pyridyl ketone (V).

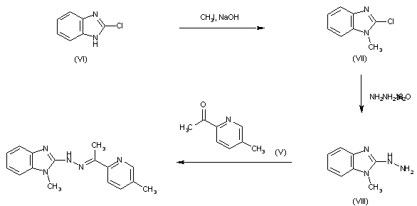
合成路线图解说明:

Alkylation of 2-chlorobenzimidazole (VI) with iodomethane and NaOH leads to 2-chloro-1-methylbenzimidazole (VII). The 2-chloro group of (VII) is then displaced with hydrazine hydrate to afford hydrazine (VIII). Finally, condensation between ketone (V) and hydrazine (VIII) gives rise to the target hydrazone.

Drug Information Express,Drug R&D,Chemical Database,Patent Search.
Copyright © 2006-2026 Drug Future. All rights reserved.Contact Us