【药物名称】NU-7279
化学结构式(Chemical Structure):
参考文献No.703785
标题:Combinatorial methods for identifying antitumour kinase inhibitors
作者:Griffin, R.J.
来源:Eur J Cancer 2002,38(Suppl. 7),
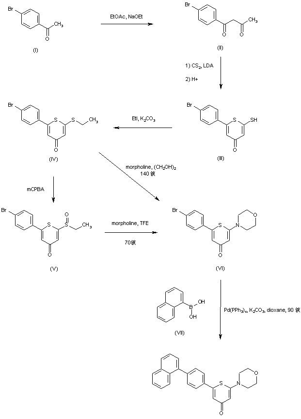
合成路线图解说明:

Claisen condensation of 4-bromoacetophenone (I) with ethyl acetate provides diketone (II). Subsequent reaction of (II) with carbon disulfide in the presence of LDA leads to thiopyranone thiol (III). Alkylation of thiol (III) with iodoethane and K2CO3 affords sulfide (IV), which is further oxidized to sulfoxide (V) by means of mCPBA. Displacement of either sulfide (IV) or sulfoxide (V) with morpholine gives rise to the morpholinyl thiopyranone (VI). Finally, Suzuki coupling between aryl bromide (VI) and 2-naphthaleneboronic acid (VII) produces the target compound

Drug Information Express,Drug R&D,Chemical Database,Patent Search.
Copyright © 2006-2026 Drug Future. All rights reserved.Contact Us