【药物名称】
化学结构式(Chemical Structure):
参考文献No.703330
标题:Discovery of potent CCR5-antagonistic anti-HIV agents using newly generated GPCR-targeted combinatorial library
作者:Habashita, H.; et al.
来源:22nd Symp Med Chem (Nov 27 2002, Shizuoka) 2002,Abst 1P-05
合成路线图解说明:

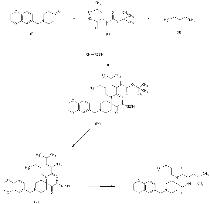
The Ugi reaction between 1-benzodioxanylmethyl-4-piperidone (I), N-Boc-leucine (II), butylamine (III), and isonitrile-bound resin produces the diamide resin (IV). Removal of the N-Boc group of (IV), followed by cyclative cleavage of the deprotected amino amide resin (V), affords the target spiro diketopiperazine derivative.

Drug Information Express,Drug R&D,Chemical Database,Patent Search.
Copyright © 2006-2026 Drug Future. All rights reserved.Contact Us