【药物名称】
化学结构式(Chemical Structure):
参考文献No.703334
标题:Exploitation for new antimalarials using spongean peroxides as scaffolds
作者:Murakami, N.; Kawanishi, M.; Mostaqul, H.M.; Tsuruta, K.; Itagaki, S.; Horii, T.; Kobayashi, M.
来源:22nd Symp Med Chem (Nov 27 2002, Shizuoka) 2002,Abst 1P-12
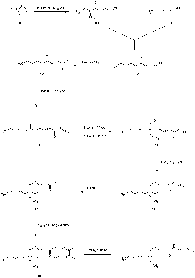
合成路线图解说明:

Dimethylaluminium chloride-catalyzed ring opening of butyrolactone (I) with N,O-dimethylhydroxylamine furnishes the N-methoxy amide (II). Subsequent condensation of the Weinreb amide (II) with pentylmagnesium bromide (III) gives rise to the hydroxy ketone (IV). Further oxidation of the primary alcohol function of (IV) under Swern conditions leads to keto aldehyde (V). Then, Wittig condensation of aldehyde (V) with (methoxycarbonylmethylene) triphenylphosphorane (VI) affords the unsaturated ester (VII). Treatment of (VII) with urea-hydrogen peroxide in the presence of scandium triflate generates the hydroperoxide compound (VIII), which undergoes further intramolecular ring closure in the presence of triethylamine, leading to the 1,2-dioxane (IX). Enzymatic hydrolysis of ester (IX) employing pig liver esterase gives acid (X). After activation of (X) as the corresponding pentafluorophenyl ester (XI), condensation with propylamine in pyridine provides the title N-propyl amide

Drug Information Express,Drug R&D,Chemical Database,Patent Search.
Copyright © 2006-2026 Drug Future. All rights reserved.Contact Us