【药物名称】[18F]-FMDAA-1106
化学结构式(Chemical Structure):
参考文献No.714680
标题:[18F]FMDAA1106 and [18F]FEDAA1106: Two positron-emitter labeled ligands for peripheral benzodiazepine receptor (PBR)
作者:Zhang, M.-R.; Maeda, J.; Furutsuka, K.; Yoshida, Y.; Ogawa, M.; Suhara, T.; Suzuki, K.
来源:Bioorg Med Chem Lett 2003,13(2),201
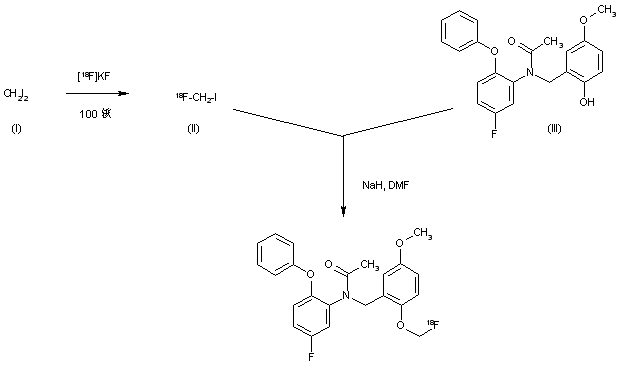
合成路线图解说明:

Reaction of diiodomethane (I) with [18F]fluoride at 100 C leads to the radiolabeled fluoromethyl iodide (II). The known peripheral benzodiazepine receptor ligand (III) is then alkylated with iodide (II) in the presence of NaH in DMF to furnish the title compound.

合成路线图解说明:

Reaction of 2-bromoethyl triflate (I) with [18F]fluoride in boiling o-dichlorobenzene leads to the radiolabeled 1-bromo-2-fluoroethane (II). The known peripheral benzodiazepine receptor ligand (III) is then alkylated with bromide (II) in the presence of NaH in hot DMF to furnish the title compound.

Drug Information Express,Drug R&D,Chemical Database,Patent Search.
Copyright © 2006-2026 Drug Future. All rights reserved.Contact Us