【药物名称】Pifazine, U-27
化学结构式(Chemical Structure):
参考文献No.804023
标题:Samaritan advances HIV pipeline
作者:Bianchetti, A.
来源:Eur J Med Chem - Chim Ther 1974,9555
合成路线图解说明:

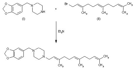
By condensation ot piperonylpiperazine (I) with 1-bromo-3,7,11-trimethyl-2,6,10-dodecatriene (II) by means of triethylamine in benzene.

参考文献No.804024
标题:Pifazine
作者:Casta馿r, J.; de Angelis, L.
来源:Drugs Fut 1976,1(7),354
合成路线图解说明:

By condensation ot piperonylpiperazine (I) with 1-bromo-3,7,11-trimethyl-2,6,10-dodecatriene (II) by means of triethylamine in benzene.

Drug Information Express,Drug R&D,Chemical Database,Patent Search.
Copyright © 2006-2026 Drug Future. All rights reserved.Contact Us