【药物名称】UP-2092, NSC-709119, DRH-417, D-709119
化学结构式(Chemical Structure):
参考文献No.47571
标题:Compounds
作者:Thurston, D.E.; Howard, P.W. (University of Portsmouth)
来源:EP 1109812; WO 0012508
合成路线图解说明:

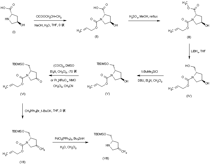
The pyrrolidine intermediate (VIII) has been obtained as follows: Protection of trans-4-hydroxy-L-proline (I) with allyl chloroformate gave carbamate (II). Following esterification of (II) with MeOH and H2SO4, the methyl ester (III) was reduced to diol (IV) by using LiBH4 in THF. Selective silylation of the primary alcohol of (IV) was achieved with TBDMS chloride the presence of DBU to furnish the silyl ether (V). Oxidation of (V) to ketone (VI) was carried out either under Swern conditions or by means of tetrapropylammonium perruthenate (TPAP) in the presence of N-methylmorpholine-N-oxide. Subsequent Wittig reaction of ketone (VI) with methylene triphenylphosphorane provided olefin (VII). The allyloxycarbonyl protecting group of (VII) was then removed by palladium-catalyzed hydrostannolysis with tributyltin hydride to yield the pyrrolidine intermediate (VIII).

合成路线图解说明:

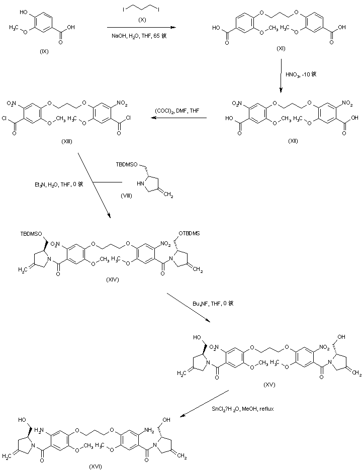
Reaction of 1,3-diiodopropane (X) with two equivalents of vanillic acid (IX) in the presence of NaOH produced diacid (XI). Nitration of (XI) to give (XII) was carried out with concentrated HNO3 at -10 C. Dinitro diacid (XII) was then converted to the corresponding acid chloride (XIII) by treatment with oxalyl chloride. Coupling of acid chloride (XIII) with pyrrolidine (VIII) gave the bis-amide (XIV). After desilylation of (XIV) with tetrabutylammonium fluoride, the resultant bis-nitro-alcohol (XV) was reduced by means of SnCl2 to the diamine (XVI).

合成路线图解说明:

Diamine (XVI) was protected as the bis-carbamate (XVII) by treatment with allyl chloroformate. Oxidation of the alcohol functionalities of (XVII) followed by spontaneous ring closure in the presence of tetrapropylammonium perruthenate and N-methylmorpholine-N-oxide produced the bis-pyrrolobenzodiazepine compound (XVIII). Finally, cleavage of the carbamate groups of (XVIII) with concomitant dehydration gave rise to the title compound.

合成路线图解说明:

Chlorination of 2-nitro-4,5-dimethoxybenzoic acid (I) by using oxalyl chloride and DMF provides acid chloride (II), which is subsequently coupled to hydroxyproline methyl ester (III) to yield amide (IV). Catalytic hydrogenation of the nitro group of (IV), followed by intramolecular cyclization leads to the tricyclic lactam (V). In order to protect the lactam NH of (V), the hydroxyl group is first converted into the silyl ether (VI), which is further treated with trimethylsilylethoxymethyl chloride and NaH to give the SEM-lactam (VII). Selective O desilylation of (VII) is accomplished by means of tetrabutylammonium fluoride, providing alcohol (VIII). Oxidation of (VIII) under Swern reaction conditions gives rise to ketone (IX).

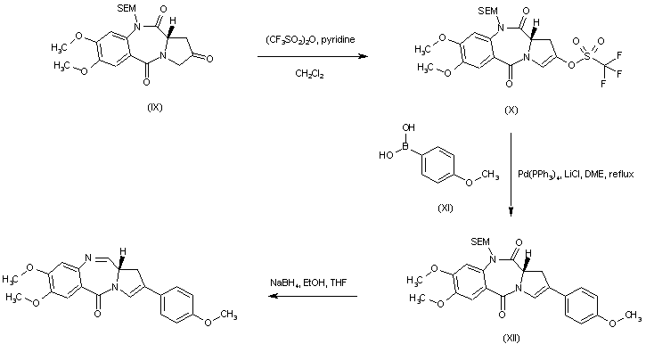
合成路线图解说明:

Treatment of ketone (IX) with trifluoromethanesulfonic anhydride and pyridine produces the vinyl triflate (X). This is then subjected to Suzuki coupling with 4-methoxyphenylboronic acid (XI) to yield adduct (XII). Finally, regioselective lactam reduction in (XII) with NaBH4 furnishes the title compound.

Drug Information Express,Drug R&D,Chemical Database,Patent Search.
Copyright © 2006-2026 Drug Future. All rights reserved.Contact Us