【药物名称】ID-4708
化学结构式(Chemical Structure):
参考文献No.8707
标题:3-Hetero-substd.-N-benzyl-indoles
作者:Yamamoto, H.; et al. (Sumitomo Chemical Co., Ltd.)
来源:US 3907812
合成路线图解说明:

The condensation of 6-fluoro-2-methylindole (I) with beta-chloropropionitrile (II) by means of ethylmagnesium iodide (that forms the magnesium salt of (I)) in refluxing ether gives 3-(6-fluoro-2-methyl-3-indolyl)propionitrite (III), which is hydrolyzed with KOH in refluxing water yielding 3-(6-fluoro-2-methyl-3-indolyl)propionic acid (IV) (1). The condensation of (IV) with 4-hydroxy-4-(3-trifluoromethylphenyl)piperidine (V) by means of ethyl chloroformate and triethylamine in refluxing THF affords 1-[3-(6-fluoro-2-methyl-3-indolyl)propionyl]-4-hydroxy-4-(3-trifluromethylphenyl)piperidine (VI), which is reduced with LiAlH4 in refluxing THF giving 1-[3-(6-fluoro-2-methyl-3-indolyl)propyl]-4-hydroxy-4-(3-trifluoromethylphenyl)piperidine (VII). The ozonolysis of (VII) in HOAc affords 1-[3-(2-acetamido-4-fluorobenzoyl)propyl]-4-hydroxy-4-(3-trifluoromethylphenyl)piperidine (VIII), which is finally hydrolyzed with concentrated HCl in refluxing EtOH

合成路线图解说明:

Sulfenylation of the Grignard reagent derived from ethyl 5-chloroindole-2-carboxylate (I) with S-phenyl benzenethiosulfonate affords the 3-phenylsulfanyl indole (II). This is then alkylated with 4-chlorobenzyl chloride (III) in the presence of potassium hexamethyldisilazide to yield the N-benzyl indole derivative (IV). Finally, hydrolysis of ethyl ester (IV) by means of potassium trimethylsilanolate under anhydrous conditions produces the target carboxylic acid (1,2).

参考文献No.804038
标题:ID - 4708
作者:Blancafort, P.; Serradell, M.N.; Casta馿r, J.; Owen, R.T.
来源:Drugs Fut 1979,4(7),492
合成路线图解说明:

The condensation of 6-fluoro-2-methylindole (I) with beta-chloropropionitrile (II) by means of ethylmagnesium iodide (that forms the magnesium salt of (I)) in refluxing ether gives 3-(6-fluoro-2-methyl-3-indolyl)propionitrite (III), which is hydrolyzed with KOH in refluxing water yielding 3-(6-fluoro-2-methyl-3-indolyl)propionic acid (IV) (1). The condensation of (IV) with 4-hydroxy-4-(3-trifluoromethylphenyl)piperidine (V) by means of ethyl chloroformate and triethylamine in refluxing THF affords 1-[3-(6-fluoro-2-methyl-3-indolyl)propionyl]-4-hydroxy-4-(3-trifluromethylphenyl)piperidine (VI), which is reduced with LiAlH4 in refluxing THF giving 1-[3-(6-fluoro-2-methyl-3-indolyl)propyl]-4-hydroxy-4-(3-trifluoromethylphenyl)piperidine (VII). The ozonolysis of (VII) in HOAc affords 1-[3-(2-acetamido-4-fluorobenzoyl)propyl]-4-hydroxy-4-(3-trifluoromethylphenyl)piperidine (VIII), which is finally hydrolyzed with concentrated HCl in refluxing EtOH

合成路线图解说明:

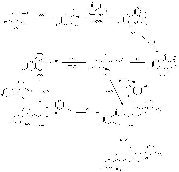
The reaction of 4-fluoro-2-nitrobenzoic acid (IX) with refluxing SOCl2 gives the corresponding acyl chloride (X), which is then condensed with alpha-acetyl-gamma-butyrolactone (XI) by means of Mg(OEt)2 in toluene yielding alpha-acetyl-alpha-(4-fluoro-2-nitrobenzoyl)-gamma-butyrolactone (XII). The hydrolysis of (XII) with HCl affords alpha-(4-fluoro-2-nitrobenzoyl)-gamma-butyrolactone (XIII), which by treatment with HBr (d, 1.48) at 85 C is converted into gamma-bromo-4-fluoro-2-nitrobutyrophenone (XIV). The ketalization of (XIV) with ethyleneglycol and ethylenesulfite by means of p-toluenesulfonic acid in refluxing toluene yields the corresponding ketal (XV), which is condensed with the piperidine (V) by means of K2CO3 in hot methyl isobutylketone giving 4-[4-hydroxy-4-(3-trifluoromethylphenyl)piperidino]-1-(4-fluoro-2-nitrophenyl)-1,1-ethylenedioxy-n-butane (XVI). The hydrolysis of (XVI) HCl in refluxing isopropanol affords gamma-[hydroxy-4-(3-trifluoromethylphenyl)piperidino]-4-fluoro-2-nitrobutyrophenone (XVII), which is finally reduced with H2 over Pd/C in MeOH The direct condensation of butyrophenone (XIV) with piperidine (V) by means of K2CO3 as before gives the already obtained butyrophenone (XVII).

参考文献No.804039
标题:The XIAP antisense compound AEG35156/GEM640 demonstrates significant antitumor activity in multiple human cancer xenograft models
作者:Honma, T.; et al.
来源:Arzneim-Forsch Drug Res 1974,24(9),1248
合成路线图解说明:

The condensation of 6-fluoro-2-methylindole (I) with beta-chloropropionitrile (II) by means of ethylmagnesium iodide (that forms the magnesium salt of (I)) in refluxing ether gives 3-(6-fluoro-2-methyl-3-indolyl)propionitrite (III), which is hydrolyzed with KOH in refluxing water yielding 3-(6-fluoro-2-methyl-3-indolyl)propionic acid (IV) (1). The condensation of (IV) with 4-hydroxy-4-(3-trifluoromethylphenyl)piperidine (V) by means of ethyl chloroformate and triethylamine in refluxing THF affords 1-[3-(6-fluoro-2-methyl-3-indolyl)propionyl]-4-hydroxy-4-(3-trifluromethylphenyl)piperidine (VI), which is reduced with LiAlH4 in refluxing THF giving 1-[3-(6-fluoro-2-methyl-3-indolyl)propyl]-4-hydroxy-4-(3-trifluoromethylphenyl)piperidine (VII). The ozonolysis of (VII) in HOAc affords 1-[3-(2-acetamido-4-fluorobenzoyl)propyl]-4-hydroxy-4-(3-trifluoromethylphenyl)piperidine (VIII), which is finally hydrolyzed with concentrated HCl in refluxing EtOH

参考文献No.900254
标题:
作者:Sasajima, K.; et al. (Sumitomo Chemical Co., Ltd.)
来源:DE 2632414
合成路线图解说明:

The reaction of 4-fluoro-2-nitrobenzoic acid (IX) with refluxing SOCl2 gives the corresponding acyl chloride (X), which is then condensed with alpha-acetyl-gamma-butyrolactone (XI) by means of Mg(OEt)2 in toluene yielding alpha-acetyl-alpha-(4-fluoro-2-nitrobenzoyl)-gamma-butyrolactone (XII). The hydrolysis of (XII) with HCl affords alpha-(4-fluoro-2-nitrobenzoyl)-gamma-butyrolactone (XIII), which by treatment with HBr (d, 1.48) at 85 C is converted into gamma-bromo-4-fluoro-2-nitrobutyrophenone (XIV). The ketalization of (XIV) with ethyleneglycol and ethylenesulfite by means of p-toluenesulfonic acid in refluxing toluene yields the corresponding ketal (XV), which is condensed with the piperidine (V) by means of K2CO3 in hot methyl isobutylketone giving 4-[4-hydroxy-4-(3-trifluoromethylphenyl)piperidino]-1-(4-fluoro-2-nitrophenyl)-1,1-ethylenedioxy-n-butane (XVI). The hydrolysis of (XVI) HCl in refluxing isopropanol affords gamma-[hydroxy-4-(3-trifluoromethylphenyl)piperidino]-4-fluoro-2-nitrobutyrophenone (XVII), which is finally reduced with H2 over Pd/C in MeOH The direct condensation of butyrophenone (XIV) with piperidine (V) by means of K2CO3 as before gives the already obtained butyrophenone (XVII).

参考文献No.900255
标题:
作者:Yamamoto, H.; et al. (Sumitomo Chemical Co., Ltd.)
来源:DE 2065311; JP 754670; JP 754671
合成路线图解说明:

The condensation of 6-fluoro-2-methylindole (I) with beta-chloropropionitrile (II) by means of ethylmagnesium iodide (that forms the magnesium salt of (I)) in refluxing ether gives 3-(6-fluoro-2-methyl-3-indolyl)propionitrite (III), which is hydrolyzed with KOH in refluxing water yielding 3-(6-fluoro-2-methyl-3-indolyl)propionic acid (IV) (1). The condensation of (IV) with 4-hydroxy-4-(3-trifluoromethylphenyl)piperidine (V) by means of ethyl chloroformate and triethylamine in refluxing THF affords 1-[3-(6-fluoro-2-methyl-3-indolyl)propionyl]-4-hydroxy-4-(3-trifluromethylphenyl)piperidine (VI), which is reduced with LiAlH4 in refluxing THF giving 1-[3-(6-fluoro-2-methyl-3-indolyl)propyl]-4-hydroxy-4-(3-trifluoromethylphenyl)piperidine (VII). The ozonolysis of (VII) in HOAc affords 1-[3-(2-acetamido-4-fluorobenzoyl)propyl]-4-hydroxy-4-(3-trifluoromethylphenyl)piperidine (VIII), which is finally hydrolyzed with concentrated HCl in refluxing EtOH

参考文献No.900256
标题:
作者:(Sumitomo Chemical Co., Ltd.)
来源:FR 2196153
合成路线图解说明:

The condensation of 6-fluoro-2-methylindole (I) with beta-chloropropionitrile (II) by means of ethylmagnesium iodide (that forms the magnesium salt of (I)) in refluxing ether gives 3-(6-fluoro-2-methyl-3-indolyl)propionitrite (III), which is hydrolyzed with KOH in refluxing water yielding 3-(6-fluoro-2-methyl-3-indolyl)propionic acid (IV) (1). The condensation of (IV) with 4-hydroxy-4-(3-trifluoromethylphenyl)piperidine (V) by means of ethyl chloroformate and triethylamine in refluxing THF affords 1-[3-(6-fluoro-2-methyl-3-indolyl)propionyl]-4-hydroxy-4-(3-trifluromethylphenyl)piperidine (VI), which is reduced with LiAlH4 in refluxing THF giving 1-[3-(6-fluoro-2-methyl-3-indolyl)propyl]-4-hydroxy-4-(3-trifluoromethylphenyl)piperidine (VII). The ozonolysis of (VII) in HOAc affords 1-[3-(2-acetamido-4-fluorobenzoyl)propyl]-4-hydroxy-4-(3-trifluoromethylphenyl)piperidine (VIII), which is finally hydrolyzed with concentrated HCl in refluxing EtOH

Drug Information Express,Drug R&D,Chemical Database,Patent Search.
Copyright © 2006-2026 Drug Future. All rights reserved.Contact Us