【药物名称】
化学结构式(Chemical Structure):
参考文献No.706858
标题:Design, synthesis, and tripeptidyl peptidase II inhibitory activity of a novel series of (S)-2,3-dihydro-2-(4-alkyl-1H-imidazol-2-yl)-1H-indoles
作者:Breslin, H.J.; Miskowski, T.A.; Kukla, M.J.; Leister, W.H.; De Winter, H.L.; Gauthier, A.D.; Somers, M.V.F.; Peeters, D.C.G.; Roevens, P.W.M.
来源:J Med Chem 2002,45(24),5303
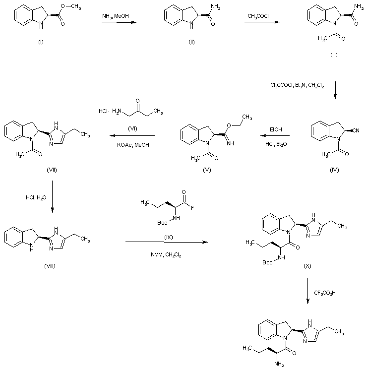
合成路线图解说明:

Ethyl (S)-indoline-2-carboxylate (I) is treated with methanolic ammonia to yield amide (II). After protection of indoline (II) as the N-acetyl derivative (III), dehydration of the carboxamide moiety by means of trichloroacetyl chloride and triethylamine leads to nitrile (IV). Subsequent treatment of nitrile (IV) with ethanolic HCl affords imidate (V), which is further condensed with 1-amino-2-butanone (VI) producing imidazole (VII). Deacetylation of (VII) in refluxing 6 N HCl, followed by coupling of the resultant amine (VIII) with acid fluoride (IX) yields amide (X). Finally, N-Boc group cleavage in (X) by means of trifluoroacetic acid furnishes the title compound.

Drug Information Express,Drug R&D,Chemical Database,Patent Search.
Copyright © 2006-2026 Drug Future. All rights reserved.Contact Us