【药物名称】CDD-0102
化学结构式(Chemical Structure):
参考文献No.258959
标题:Design, synthesis, and neurochemical evaluation of 5-(3-alkyl-1,2,4-oxadiazol-5-yl)-1,4,5,6-tetrahydropyrimidines as M1 muscarinic receptor agonists
作者:Dunbar, P.G.; Durant, G.J.; Fang, Z.; Abuh, Y.F.; El-Assadi, A.A.; Ngur, D.O.; Periyasamy, S.; Hoss, W.P.; Messer, W.S. Jr.
来源:J Med Chem 1993,36(7),842
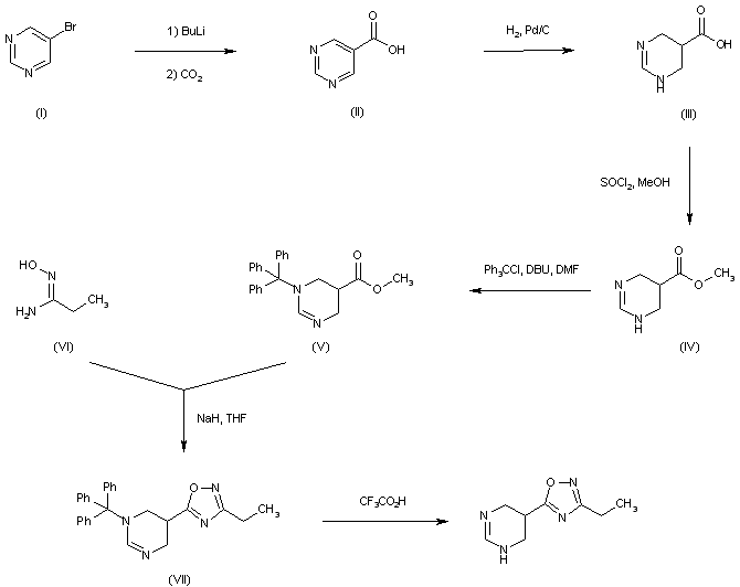
合成路线图解说明:

Lithiation of 5-bromopyrimidine (I), followed by addition of CO2 produces pyrimidine-5-carboxylic acid (II). After catalytic hydrogenation of (II), the resultant tetrahydropyrimidine acid (III) is esterified with SOCl2 in MeOH to yield the corresponding methyl ester (IV). Protection of (IV) with triphenylmethyl chloride and DBU affords the N-trityl derivative (V). Then, condensation between the sodium derivative of propionamide oxime (VI) and ester (V) gives rise to the oxadiazole compound (VII). The N-trityl group of (VII) is finally removed with trifluoroacetic acid to furnish the title compound.

Drug Information Express,Drug R&D,Chemical Database,Patent Search.
Copyright © 2006-2026 Drug Future. All rights reserved.Contact Us