【药物名称】
化学结构式(Chemical Structure):
参考文献No.707357
标题:Improving the oral efficacy of CNS drug candidates: Discovery of highly orally efficacious piperidinyl piperidine M2 muscarinic receptor antagonists
作者:Wang, Y.; Chackalamannil, S.; Hu, Z.; Greenlee, W.J.; Clader, J.; Boyle, C.D.; Kaminski, J.J.; Billard, W.; Binch, H. III.; Crosby, G.; Ruperto, V.; Duffy, R.A.; Cohen-Williams, M.; Coffin, V.L.; Cox, K.A.; Grotz, D.E.; Lachowicz, J.E.
来源:J Med Chem 2002,45(25),5415
合成路线图解说明:

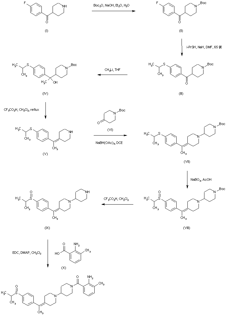
Protection of 4-(4-fluorobenzoyl)piperidine (I) as the tert-butyl carbamate (II), followed by displacement of the fluorine atom with isopropylthiol affords the isopropylsulfanyl derivative (III). Subsequent addition of methyllithium to ketone (III) produces the tertiary alcohol (IV). Dehydration of alcohol (IV) with concomitant N-Boc group cleavage under acidic conditions gives rise to the benzylidene piperidine (V), which is further subjected to reductive alkylation with N-Boc-4-piperidone (VI) in the presence of NaBH(OAc)3 to yield the bipiperidine derivative (VII). Controlled oxidation of the sulfide group of (VII) employing NaBO3/AcOH provides sulfoxide (VIII). After N-Boc group cleavage in (VIII) by means of trifluoroacetic acid, the resultant amine (IX) is coupled to 3 methylanthranilic acid (X) to furnish the target amide.

Drug Information Express,Drug R&D,Chemical Database,Patent Search.
Copyright © 2006-2026 Drug Future. All rights reserved.Contact Us