【药物名称】
化学结构式(Chemical Structure):
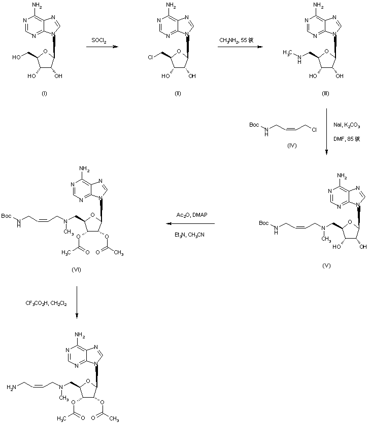
参考文献No.700058
标题:Synthesis and evaluation of analogues of 5'-([(Z)-4-amino-2-butenyl]methylamino)-5'-deoxyadenosine as inhibitors of tumor cell growth, trypanosomal growth, and HIV-1 infectivity
作者:Marasco, C.J.; Kramer, D.L.; Miller, J.; Porter, C.W.; Bacchi, C.J.; Rattendi, D.; Kucera, L.; Iyer, N.; Bernacki, R.; Pera, P.; Sufrin, J.R.
来源:J Med Chem 2002,45(23),5112
合成路线图解说明:

The primary hydroxyl group of adenosine (I) is chlorinated by means of SOCl2 to afford chloride (II), which is then displaced by methylamine at 55 C in a pressure vessel to furnish amine (III). Subsequent alkylation of (III) with the allyl chloride (IV) in hot DMF provides (V). After esterification of diol (V) with acetic anhydride, the resultant diacetate (VI) is subjected to acid-catalyzed N-Boc group cleavage to furnish the title compound.

Drug Information Express,Drug R&D,Chemical Database,Patent Search.
Copyright © 2006-2026 Drug Future. All rights reserved.Contact Us