【药物名称】Bz-423
化学结构式(Chemical Structure):
参考文献No.702317
标题:Synthesis of 3-substituted 1,4-benzodiazepin-2-ones
作者:Kim, K.; Volkman, S.K.; Ellman, J.A.
来源:J Braz Chem Soc 1998,9(4),375
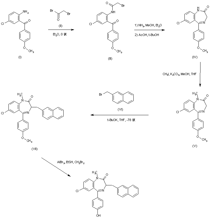
合成路线图解说明:

Acylation of the 2-aminobenzophenone (I) with bromoacetyl bromide (II) provides the bromoacetamide (III). Subsequent treatment of (III) with ammonia leads to the benzodiazepinone (IV). Methylation of the lactam N with iodomethane in the presence of K2CO3 gives rise to (V). The potassium enolate of benzodiazepinone (V) is then alkylated by 2-(bromomethyl)naphthalene (VI) to furnish the naphthylmethyl derivative (VII). Finally, methyl ether cleavage using AlBr3 in ethanethiol provides the target phenolic compound

Drug Information Express,Drug R&D,Chemical Database,Patent Search.
Copyright © 2006-2026 Drug Future. All rights reserved.Contact Us