【药物名称】INF BCP, INF-401
化学结构式(Chemical Structure):
参考文献No.57778
标题:Certain 2-hydroxy-1-naphthaldehyde acylhydrazones and their use as fungicides
作者:Rusay, R.J.
来源:US 4277500
合成路线图解说明:

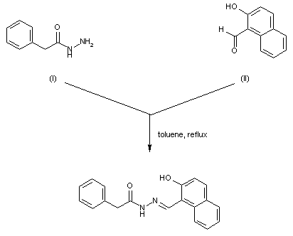
The title N-acyl hydrazone is obtained by condensation between phenylacetic hydrazide (I) and 2-hydroxy-1-naphthaldehyde (II) in boiling toluene with azeotropic removal of water.

Drug Information Express,Drug R&D,Chemical Database,Patent Search.
Copyright © 2006-2026 Drug Future. All rights reserved.Contact Us