| 参考文献No. | 48738 |
| 标题: | Fab I inhibitors |
| 作者: | Uzinskas, I.N.; Miller, W.H.; Newlander, K.A.; Jakas, D.R.; Seefeld, M.A.; DeWolf, W.E. Jr. (GlaxoSmithKline Inc.) |
| 来源: | EP 1226138; WO 0127103 |
 |
| 合成路线图解说明: 2-Methyl-3-(methylaminomethyl)indole (II) was obtained by the reductive amination of indole aldehyde (I) with methylamine. Acylation of amine (II) with acryloyl chloride (III) furnished the corresponding acrylamide (IV). |
 |
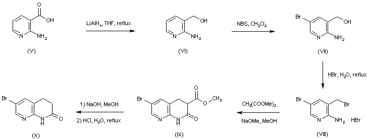
| 合成路线图解说明: Reduction of 2-aminonicotinic acid (V) by means of LiAlH4 afforded amino alcohol (VI). Subsequent bromination of (VI) with N-bromosuccinimide gave 2-amino-5-bromo-3-(hydroxymethyl)pyridine (VII). Alcohol (VII) was then converted to the bromomethyl pyridine derivative (VIII) by treatment with concentrated hydrobromic acid. Condensation of bromo amine (VIII) with dimethyl malonate led to the naphthyridine carboxylate (IX). Basic hydrolysis of the methyl ester of (IX), followed by decarboxylation under acidic conditions, gave rise to naphthyridinone (X). |
 |
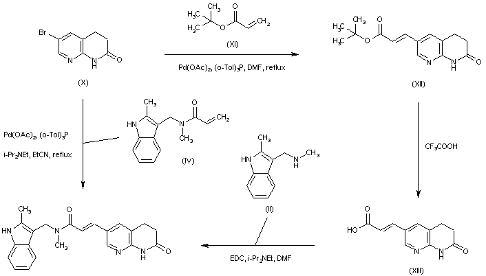
| 合成路线图解说明: The title compound was obtained from the bromo naphthyridinone (X) by two related methods. Palladium-catalyzed Heck coupling of bromide (X) with acrylamide (IV) yielded directly the desired naphthyridinyl acrylamide. Alternatively, bromo naphthyridinone (X) was subjected to Heck coupling with tert-butyl acrylate (XI) to give adduct (XII). After acidic cleavage of the tert-butyl ester group of (XII), the resultant naphthyridinyl acrylic acid (XIII) was coupled to the indolylmethyl amine (II) to furnish the desired amide. |
 |
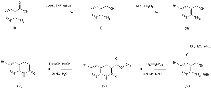
| 合成路线图解说明: 2-Aminonicotinic acid (I) is reduced to alcohol (II) employing LiAlH4 in refluxing THF. Subsequent bromination of (II) with N-bromosuccinimide affords 2-amino-5-bromo-3-(hydroxymethyl)pyridine (III). Heating of alcohol (III) with concentrated HBr leads to the bromomethyl pyridine (IV). This is further condensed with dimethyl malonate in the presence of NaOMe to produce the naphthyridinecarboxylate (V). Then, alkaline hydrolysis of ester (V), followed by acidic decarboxylation gives rise to 6-bromo-3,4-dihydro-1H-1,8-naphthyridin-2-one (VI) |
 |
| 合成路线图解说明: N-Methyl-(1,2,7-trimethylindol-3-ylmethyl)amine (VII) is condensed with acryloyl chloride (VIII) to form the corresponding acrylamide (IX). Then, Heck coupling between acrylamide (IX) and bromonaphthyridine (VI) in the presence of palladium acetate and tri-o-tolyl phosphine gives rise to the title compound. |