【药物名称】PTX-031553
化学结构式(Chemical Structure):
参考文献No.57771
标题:Bactericidal benzamide derivs.
作者:Allanson, N.M.; Thomas, M.G. (PanTherix Ltd.)
来源:GB 2365426
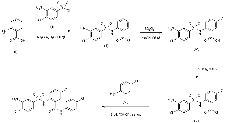
合成路线图解说明:

Condensation of anthranilic acid (I) with 4-chloro-3-nitrobenzenesulfonyl chloride (II) in the presence of Na2CO3 affords sulfonamide (III). Electrophilic chlorination of (III) employing sulfuryl chloride in hot AcOH leads to (IV). After activation of acid (IV) as the corresponding acid chloride (V), coupling with 4-chloroaniline (VI) furnishes the target anthranilamide.

Drug Information Express,Drug R&D,Chemical Database,Patent Search.
Copyright © 2006-2026 Drug Future. All rights reserved.Contact Us