【药物名称】(+)-Deoxoartelinic acid
化学结构式(Chemical Structure):
参考文献No.58060
标题:Method of preparing (+)-deoxoartemisinin and selected analogues of (+)-deoxoartemisinin
作者:McChesney, J.D.; Jung, M.
来源:US 5225562
合成路线图解说明:

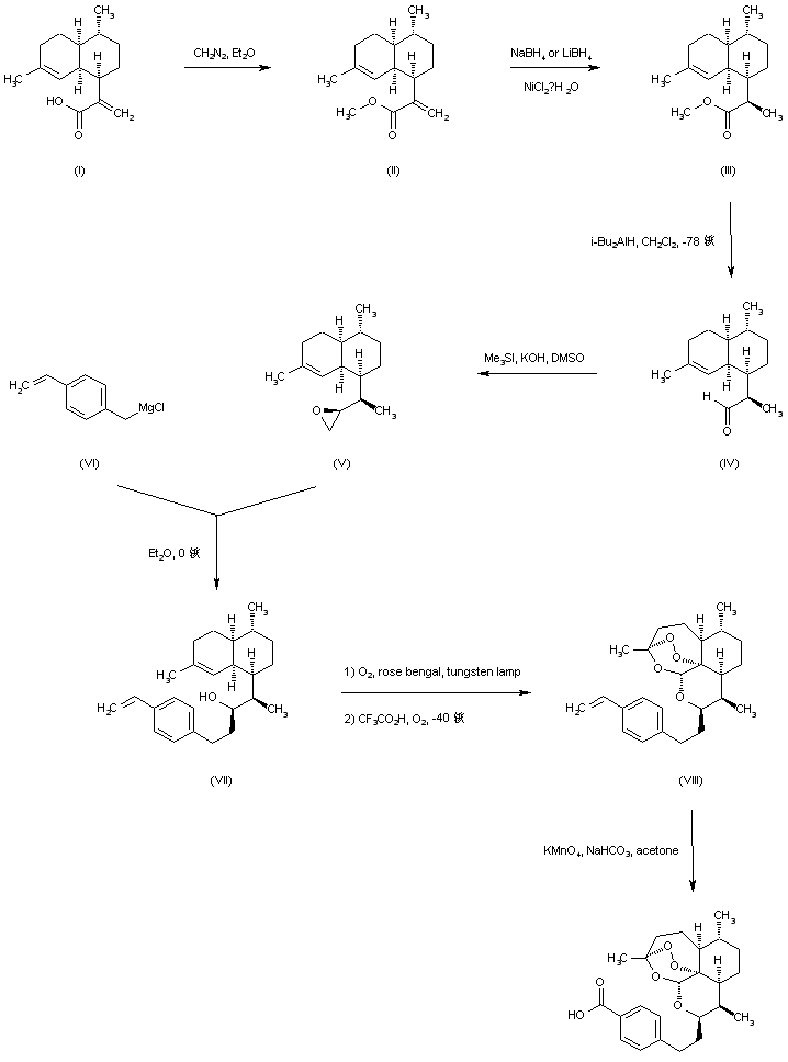
The title compound is prepared starting from artemisinic acid (I), which is extracted from the leaves of Artemisia annua. Esterification of (I) with ethereal diazomethane affords methyl ester (II). Reduction of (II) by means of lithium or sodium borohydride and NiCl2 leads to the saturated ester (III), which is further reduced with DIBAL to the aldehyde (IV). Condensation of (IV) with the sulfur ylide generated from trimethylsulfonium iodide and KOH furnishes epoxide (V). Then, epoxide ring opening with the Grignard reagent (VI) gives alcohol (VII). Photooxigenative cyclization of (VII) produces the artemisinin derivative (VIII). Finally, oxidative vinyl group cleavage employing KMnO4 yields the target carboxylic acid. (1,2)

参考文献No.699501
标题:Synthesis, stability, and antimalarial activity of new hydrolytically stable and water-soluble (+)-deoxoartelinic acid
作者:Jung, M.; Lee, K.; Kendrick, H.; Robinson, B.L.; Croft, S.L.
来源:J Med Chem 2002,45(22),4940
合成路线图解说明:

The title compound is prepared starting from artemisinic acid (I), which is extracted from the leaves of Artemisia annua. Esterification of (I) with ethereal diazomethane affords methyl ester (II). Reduction of (II) by means of lithium or sodium borohydride and NiCl2 leads to the saturated ester (III), which is further reduced with DIBAL to the aldehyde (IV). Condensation of (IV) with the sulfur ylide generated from trimethylsulfonium iodide and KOH furnishes epoxide (V). Then, epoxide ring opening with the Grignard reagent (VI) gives alcohol (VII). Photooxigenative cyclization of (VII) produces the artemisinin derivative (VIII). Finally, oxidative vinyl group cleavage employing KMnO4 yields the target carboxylic acid. (1,2)

Drug Information Express,Drug R&D,Chemical Database,Patent Search.
Copyright © 2006-2026 Drug Future. All rights reserved.Contact Us