【药物名称】AR-C102222
化学结构式(Chemical Structure):
参考文献No.33182
标题:Pharmaceutically active quinazoline cpds.
作者:Hamley, P.R.J.; Pimm, A.D.; Tinker, A.C.; Beaton, H.G.; McInally, T. (AstraZeneca plc)
来源:EP 0858451; JP 1999513679; WO 9714686
合成路线图解说明:

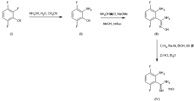
Displacement of the 2-fluoro group in 2,3,6-trifluorobenzonitrile (I) with aqueous ammonia leads to 2-amino-3,6-difluorobenzonitrile (II). Addition of hydroxylamine to the nitrile (II) in the presence of NaOMe affords benzamidoxime (III). Subsequent catalytic hydrogenation of (III) over Raney nickel furnishes benzamidine (IV).

合成路线图解说明:

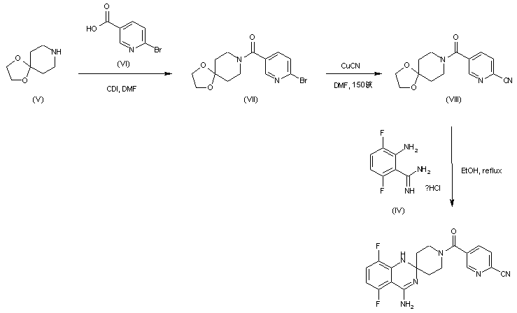
4-Piperidone ethylene ketal (V) is acylated with 6-bromonicotinic acid (VI) employing 1,1'-carbonyldiimidazole to yield amide (VII). The bromide group of (VII) is then displaced with CuCN in hot DMF producing nitrile (VIII). Finally, condensation between N-acylpiperidone (VIII) and amidine (IV) in refluxing EtOH leads to the target spiro quinazoline.

参考文献No.714097
标题:1,2-Dihydro-4-quinazolinamines: Potent, highly selective inhibitors of inducible nitric oxide synthase which show antiinflammatory activity in vivo
作者:Tinker, A.C.; Beaton, H.G.; Boughton-Smith, N.; Cook, T.R.; Cooper, S.L.; Fraser-Rae, L.; Hallam, K.; Hamley, P.; McInally, T.; Nicholls, D.J.; Pimm, A.D.; Wallace, A.V.
来源:J Med Chem 2003,46(6),913
合成路线图解说明:

Displacement of the 2-fluoro group in 2,3,6-trifluorobenzonitrile (I) with aqueous ammonia leads to 2-amino-3,6-difluorobenzonitrile (II). Addition of hydroxylamine to the nitrile (II) in the presence of NaOMe affords benzamidoxime (III). Subsequent catalytic hydrogenation of (III) over Raney nickel furnishes benzamidine (IV).

合成路线图解说明:

4-Piperidone ethylene ketal (V) is acylated with 6-bromonicotinic acid (VI) employing 1,1'-carbonyldiimidazole to yield amide (VII). The bromide group of (VII) is then displaced with CuCN in hot DMF producing nitrile (VIII). Finally, condensation between N-acylpiperidone (VIII) and amidine (IV) in refluxing EtOH leads to the target spiro quinazoline.

Drug Information Express,Drug R&D,Chemical Database,Patent Search.
Copyright © 2006-2026 Drug Future. All rights reserved.Contact Us