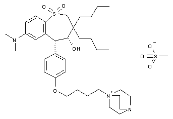
【药物名称】SC-435
化学结构式(Chemical Structure):
参考文献No.51236
标题:Combination therapy for the prophylaxis and treatment of hyperlipidemic conditions and disorders
作者:Manning, R.E.; Tremont, S.J.; Glenn, K.C.; Keller, B.T. (Pharmacia Corp.)
来源:WO 0168096
合成路线图解说明:

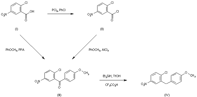
Treatment of 2-chloro-5-nitrobenzoic acid (I) with PCl5 provides acid chloride (II), which is then condensed with anisole in the presence of AlCl3 to furnish the benzophenone (III). Alternatively, ketone (III) is prepared by Friedel-Crafts condensation of 2-chloro-5-nitrobenzoic acid (I) with anisole in hot polyphosphoric acid. Reduction of ketone (III) employing triethylsilane and trifluoromethanesulfonic acid gives rise to diphenylmethane derivative (IV)

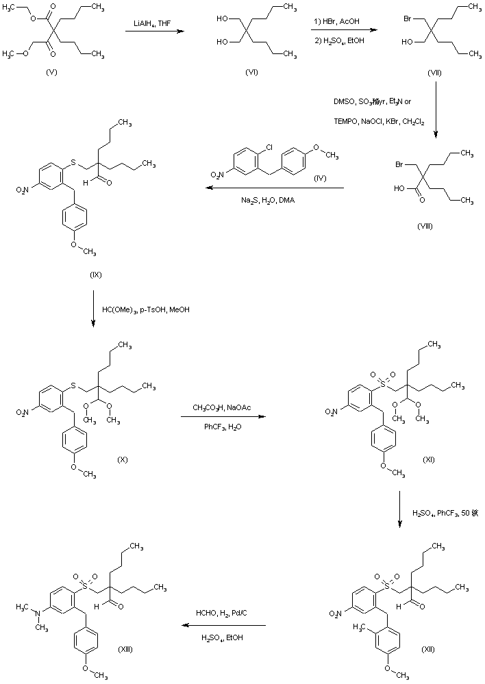
合成路线图解说明:

Reduction of malonate (V) with LiAlH4 affords diol (VI). Reaction of diol (VI) with an acetic acid solution of hydrobromic acid, followed by acidic hydrolysis of the generated acetate ester, furnishes bromo alcohol (VII). This is oxidized to the bromo aldehyde (VIII) employing either DMSO and SO3-pyridine complex or NaOCl in the presence of TEMPO and KBr. Treatment of aryl chloride (IV) with sodium sulfide, followed by addition of bromo aldehyde (VIII) leads to the sulfide adduct (IX). After protection of the aldehyde group of (IX) as the dimethyl acetal (X) by means of trimethyl orthoformate and p-toluenesulfonic acid, the sulfide function of (X) is oxidized to sulfone (XI) with peracetic acid. Acetal hydrolysis in (XI) under acidic conditions then gives aldehyde (XII). Reductive alkylation of the nitro compound (XII) by catalytic hydrogenation in the presence of Pd/C and formaldehyde yields the dimethylamino derivative (XIII)

合成路线图解说明:

Intramolecular cyclization of (XIII) in the presence of potassium tert-butoxide affords a racemic mixture of syn adducts, which can be resolved by chiral chromatography to provide the target (R,R)-isomer (XIV). Methyl ether cleavage in (XIV) employing methanesulfonic acid affords phenol (XV). This is then alkylated with 4-chlorobutanol (XVI) yielding ether (XVII). After conversion of the primary hydroxyl group of (XVII) into mesylate (XVIII), condensation with diazabicyclo[2.2.2]octane produces the title ammonium salt

Drug Information Express,Drug R&D,Chemical Database,Patent Search.
Copyright © 2006-2026 Drug Future. All rights reserved.Contact Us