【药物名称】
化学结构式(Chemical Structure):
参考文献No.41169
标题:Oxyiminoalkanoic acid derivs. with hypoglycemic and hypolipidemic activity
作者:Kimura, H.; Momose, Y.; Odaka, H.; Sakamoto, J.; Imoto, H. (Takeda Chemical Industries, Ltd.)
来源:EP 1077957; JP 2000034266; JP 2000198772; US 6251926; US 6495581; WO 9958510
合成路线图解说明:

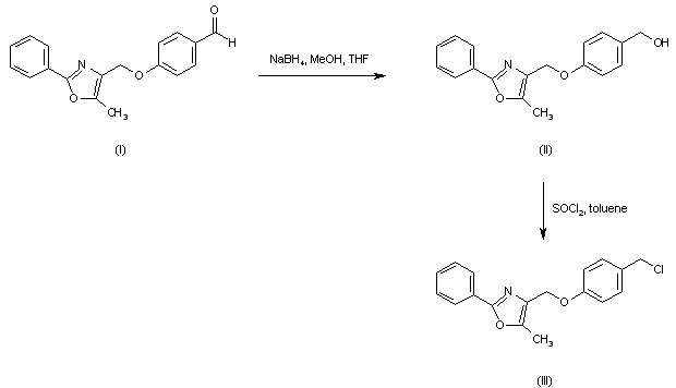
Reduction of 4-(5-methyl-2-phenyl-4-oxazolylmethoxy)benzaldehyde (I) with NaBH4 affords alcohol (II). Subsequent chlorination of (II) employing thionyl chloride in toluene leads to the benzyl chloride (III)

合成路线图解说明:

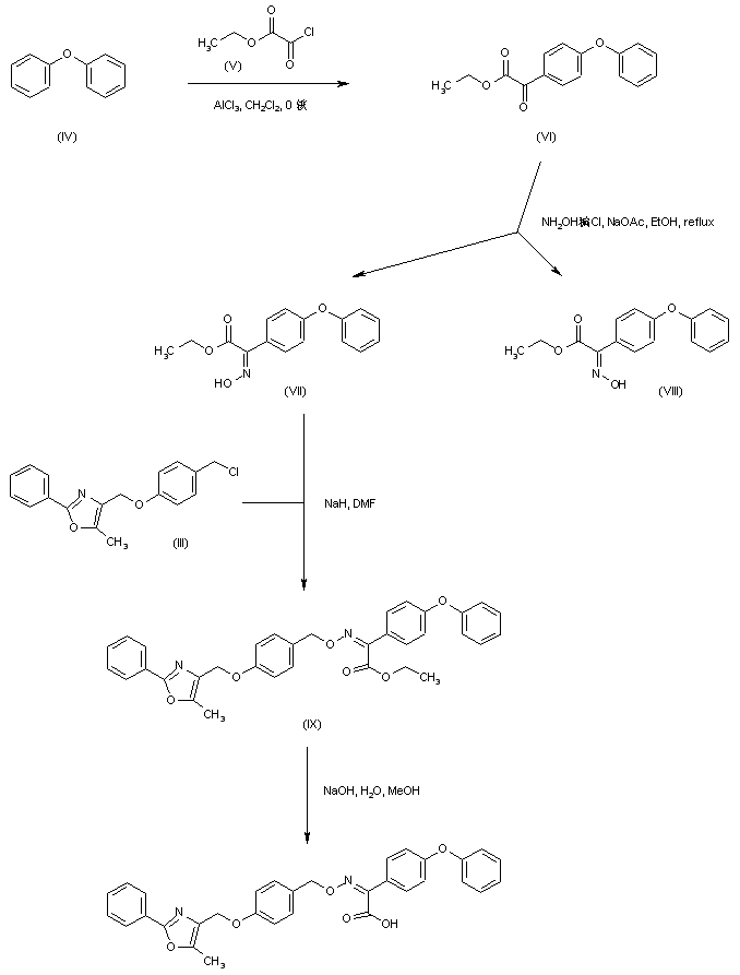
Friedel-Crafts acylation of diphenyl ether (IV) with ethyl chloroglyoxylate (V) affords the (4-phenoxyphenyl)glyoxylate (VI). This is then treated with hydroxylamine to produce a mixture of Z- and E-oximes (VII) and (VIII), which can be separated by recrystallization, followed by column chromatography. The desired Z-oxime (VII) is alkylated by the benzyl chloride derivative (III) to furnish the O-benzyl oxime (IX). Finally, saponification of the ethyl ester group of (IX) with NaOH in MeOH gives rise to the target carboxylic acid

参考文献No.696984
标题:Studies on non-thiazolidinedione antidiabetic agents. 1. Discovery of novel oxyiminoacetic acid derivatives
作者:Imoto, H.; Imamiya, E.; Momose, Y.; Sugiyama, Y.; Kimura, H.; Sohda, T.
来源:Chem Pharm Bull 2002,50(10),1349
合成路线图解说明:

Reduction of 4-(5-methyl-2-phenyl-4-oxazolylmethoxy)benzaldehyde (I) with NaBH4 affords alcohol (II). Subsequent chlorination of (II) employing thionyl chloride in toluene leads to the benzyl chloride (III)

合成路线图解说明:

Friedel-Crafts acylation of diphenyl ether (IV) with ethyl chloroglyoxylate (V) affords the (4-phenoxyphenyl)glyoxylate (VI). This is then treated with hydroxylamine to produce a mixture of Z- and E-oximes (VII) and (VIII), which can be separated by recrystallization, followed by column chromatography. The desired Z-oxime (VII) is alkylated by the benzyl chloride derivative (III) to furnish the O-benzyl oxime (IX). Finally, saponification of the ethyl ester group of (IX) with NaOH in MeOH gives rise to the target carboxylic acid

Drug Information Express,Drug R&D,Chemical Database,Patent Search.
Copyright © 2006-2026 Drug Future. All rights reserved.Contact Us