【药物名称】PAC-20030, SC-0030, JYL-1421
化学结构式(Chemical Structure):
参考文献No.54164
标题:Novel thiourea derivs. and the pharmaceutical compsns. containing the same
作者:Lee, J.W.; Kim, J.K.; Choi, J.K.; Lee, Y.S.; Park, H.G.; Kim, S.Y.; Kim, H.D.; Park, Y.H.; Suh, Y.G.; Joo, Y.H.; Lim, K.M.; Moh, J.H.; Jeong, Y.S.; Yi, J.B.; Oh, U.T.; Park, O.H.; Koh, H.J.; Oh, Y.M. (AmorePacific Corp.)
来源:EP 1303483; EP 1311478; US 2003212140; WO 0216318; WO 0216319
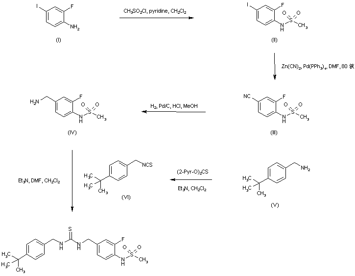
合成路线图解说明:

Acylation of 2-fluoro-4-iodoaniline (I) with methanesulfonyl chloride affords the corresponding sulfonamide (II). Subsequent iodide displacement in (II) with zinc cyanide in the presence of palladium catalyst furnishes benzonitrile (III), which is further reduced to the benzylic amine (IV) by catalytic hydrogenation over Pd/C. Treatment of 4-(tert-butyl)benzylamine (V) with di-2-pyridyl thionocarbonate leads to the isothiocyanate (VI). This is finally condensed with amine (IV) to provide the target N,N'-dibenzyl thiourea derivative.

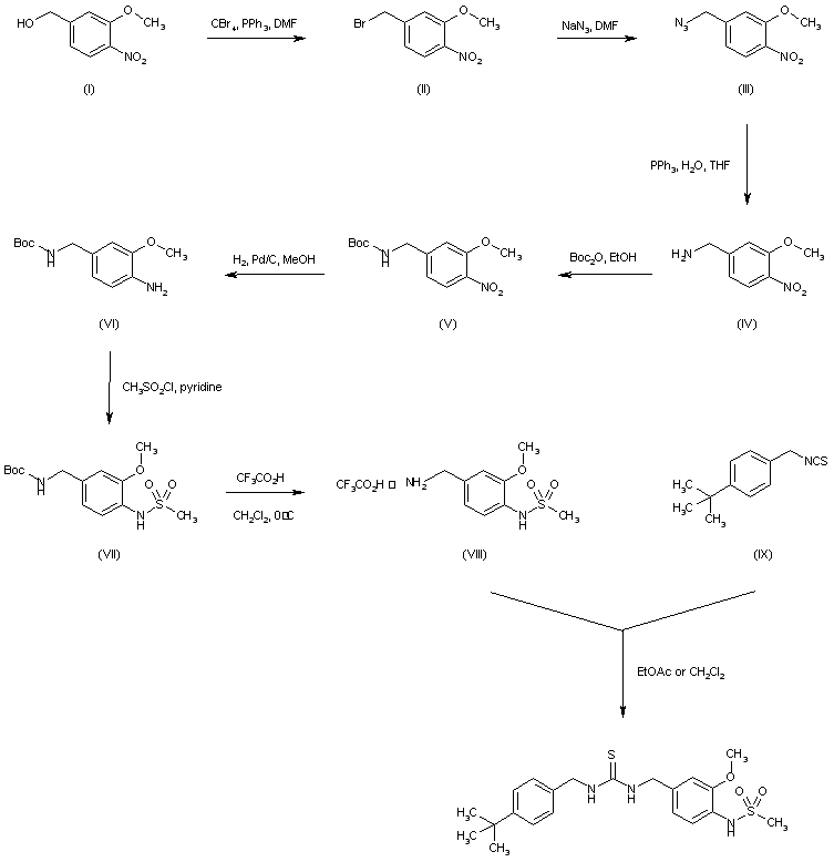
合成路线图解说明:

Treatment of 3-methoxy-4-nitrobenzyl alcohol (I) with carbon tetrabromide and triphenylphosphine, followed by displacement of the resultant benzyl bromide (II) with NaN3 produces the alkyl azide (III). Reduction of azide (III) with triphenylphosphine in moist THF leads to amine (IV), which is further protected as the N-Boc derivative (V). After reduction of the nitro derivative (V) by catalytic hydrogenation, the obtained aniline (VI) is acylated with methanesulfonyl chloride to yield the corresponding sulfonamide (VII). Then, acidic cleavage of the N-Boc protecting group of (VII) furnishes the key benzylic amine (VIII) (1). Finally, condensation of amine (VIII) with 4-tert-butylbenzyl isothiocyanate (IX) generates the target thiourea (2).

Drug Information Express,Drug R&D,Chemical Database,Patent Search.
Copyright © 2006-2026 Drug Future. All rights reserved.Contact Us