【药物名称】
化学结构式(Chemical Structure):
参考文献No.696980
标题:4-Aminoquinolines as a novel class of NR1/2B subtype selective NMDA receptor antagonists
作者:Pinard, E.; Alanine, A.; Bourson, A.; Buttelman, B.; Heitz, M.-P.; Mutel, V.; Gill, R.; Trube, G.; Wyler, R.
来源:Bioorg Med Chem Lett 2002,12(18),2615
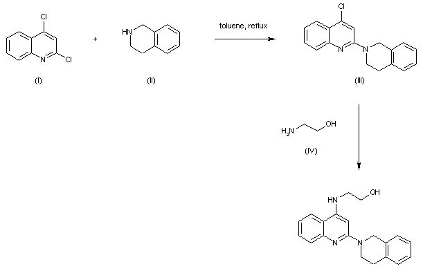
合成路线图解说明:

Regioselective substitution of the 2-chloro group of 2,4-dichloroquinoline (I) with 1,2,3,4-tetrahydroisoquinoline (II) in refluxing toluene provides the 2-(tetrahydroisoquinolinyl)quinoline (III). Then, displacement of the remaining 4-chloro group by heating with ethanolamine (IV) furnishes the title compound

Drug Information Express,Drug R&D,Chemical Database,Patent Search.
Copyright © 2006-2026 Drug Future. All rights reserved.Contact Us