【药物名称】RTI-7527-33
化学结构式(Chemical Structure):
参考文献No.57517
标题:Cpds. and methods for promoting smoking cessation
作者:Carroll, F.I. (Research Triangle Institute)
来源:US 6538010; WO 0237927
合成路线图解说明:

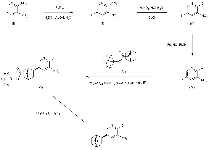
Iodination of 2-amino-3-nitropyridine (I) using a combination of iodine and periodic acid yields 2-amino-5-iodo-3-nitropyridine (II). Sandmeyer reaction of aminopyridine (II) with sodium nitrite in concentrated HCl containing CuCl affords the chloro pyridine (III). The nitro group of (III) is then reduced to amine (IV) employing iron in ethanolic HCl. Palladium acetate-catalyzed addition of iodopyridine (IV) to N-Boc-7-azabicyclo[2.2.1]hept-2-ene (V) gives rise to the exo-adduct (VI). Finally, acidic cleavage of the Boc group of (VI) furnishes the title compound.

参考文献No.696298
标题:Synthesis, nicotinic acetylcholine receptor binding, and antinociceptive properties of 2-exo-2-(2',3'-disubstituted 5'-pyridinyl)-7-azabicyclo[2.2.1]heptanes: Epibatidine analogues
作者:Carroll, F.I.; Lee, J.R.; Navarro, H.A.; Ma, W.; Brieaddy, L.E.; Abraham, P.; Damaj, M.I.; Martin, B.R.
来源:J Med Chem 2002,45(21),4755
合成路线图解说明:

Iodination of 2-amino-3-nitropyridine (I) using a combination of iodine and periodic acid yields 2-amino-5-iodo-3-nitropyridine (II). Sandmeyer reaction of aminopyridine (II) with sodium nitrite in concentrated HCl containing CuCl affords the chloro pyridine (III). The nitro group of (III) is then reduced to amine (IV) employing iron in ethanolic HCl. Palladium acetate-catalyzed addition of iodopyridine (IV) to N-Boc-7-azabicyclo[2.2.1]hept-2-ene (V) gives rise to the exo-adduct (VI). Finally, acidic cleavage of the Boc group of (VI) furnishes the title compound.

Drug Information Express,Drug R&D,Chemical Database,Patent Search.
Copyright © 2006-2026 Drug Future. All rights reserved.Contact Us