【药物名称】Desoxylaulimalide
化学结构式(Chemical Structure):
参考文献No.57104
标题:Laulimalide derivs.
作者:Ashley, G.; Metcalf, B. (Kosan Biosciences, Inc.)
来源:EP 1358186; US 2002128471; US 6670389; WO 0264589
合成路线图解说明:

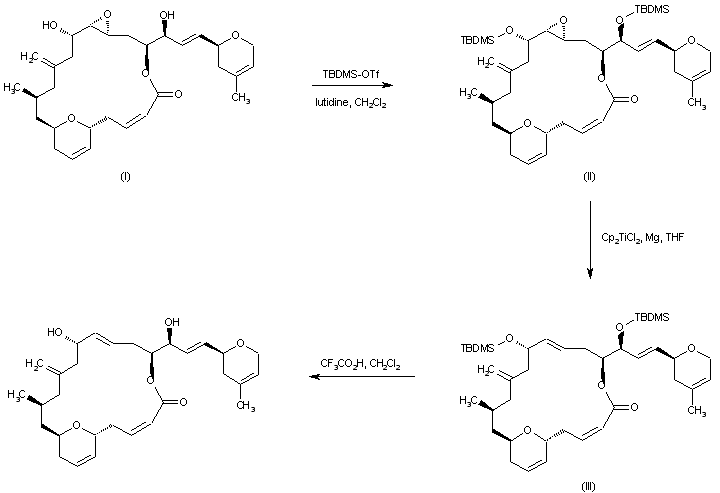
The title compound has been prepared by deoxygenation of the marine natural product (-)-laulimalide (I). Protection of (I) with tert-butyldimethylsilyl triflate and 2,6-lutidine provides the 15,20-bis-silyl ether (II), which is then deoxygenated to (III) upon treatment with magnesium metal and titanocene dichloride. Finally deprotection of the bis-silylated 16,17-deoxylaulimalide (III) by means of trifluoroacetic acid leads to the title compound.

参考文献No.64686
标题:Microtubule stabilizing cpds.
作者:Ghosh, A.K. (University of Illinois)
来源:WO 0376445
合成路线图解说明:

In a different strategy, the title compound is prepared starting from the known precursor (I), which is protected with chloromethyl methyl ether and diisopropyl ethylamine to give (II). After desilylation of (II) with tetrabutylammonium fluoride, the deprotected alcohol (III) is subjected to Dess-Martin oxidation to afford aldehyde (IV). Condensation of aldehyde (IV) with CBr4 in the presence of PPh3 leads to the gem-dibromo olefin (V). Subsequent treatment of (V) with butyllithium, followed by acylation of the intermediate alkynyl anion furnishes ester (VI). The O-p-methoxybenzyl protecting group in (VI) is removed by exposure to 2,3-dichloro-5,6-dicyano-1,4-benzoquinone (DDQ) providing (VII) hydroxy ester, which is further hydrolyzed with LiOH to the corresponding carboxylic acid (VIII).

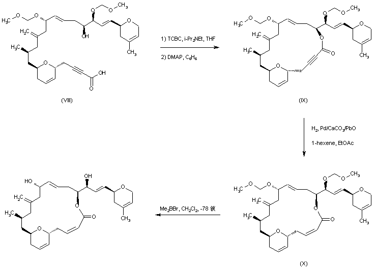
合成路线图解说明:

Yamaguchi macrolactonization of hydroxy acid (VIII), via activation with trichlorobenzoyl chloride, followed by treatment with 4-dimethylaminopyridine gives rise to lactone (IX). Partial hydrogenation of the triple bond in (IX) in the presence of Lindlar's catalyst leads to the cis olefin (X). The methoxymethyl protecting groups of (X) are finally removed by treatment with dimethylboron bromide in cold CH2Cl2.

参考文献No.786337
标题:Synthesis and biological evaluation of (-)-laulimalide analogues
作者:Gallagher, B.M. Jr.; Fang, F.G.; Johannes, C.W.; Pessant, M.; Tremblay, M.R.; Zhao, H.; Akasaka, K.; Li, X.-Y.; Liu, J.; Littlefield, B.A.
来源:Bioorg Med Chem Lett 2004,14(3),575
合成路线图解说明:

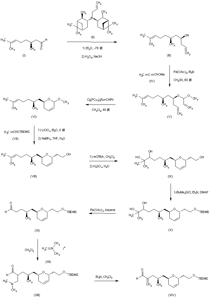
A convergent synthetic strategy to the title compound has been reported. Asymmetric allylation of (S)-citronellal by means of bis-isopinocampheyl-B-allylborane (II) affords the homoallyl alcohol (III), which is further condensed with methoxypropadiene (IV) to produce acetal (V). Ring closure of (V) to the dihydropyran derivative (VI) is accomplished by olefin metathesis in the presence of Grubbs catalyst. Subsequent aldol condensation of acetal (VI) with the silyl enol ether of acetaldehyde (VII), followed by reduction with NaBH4 leads to the hydroxyethyl derivative (VIII). After epoxidation of the side chain double bond of (VIII), acidic hydrolysis of the resultant epoxide leads to diol (IX). Protection of the primary hydroxyl group of (IX) as the silyl ether (X), and then oxidative cleavage of the vicinal diol in the presence of lead tetraacetate provides aldehyde (XI). Mannich reaction of (XI) with Eschenmoser's salt (XII) gives the beta-amino aldehyde (XIII), which undergoes elimination to the conjugated aldehyde (XIV) in the presence of triethylamine.

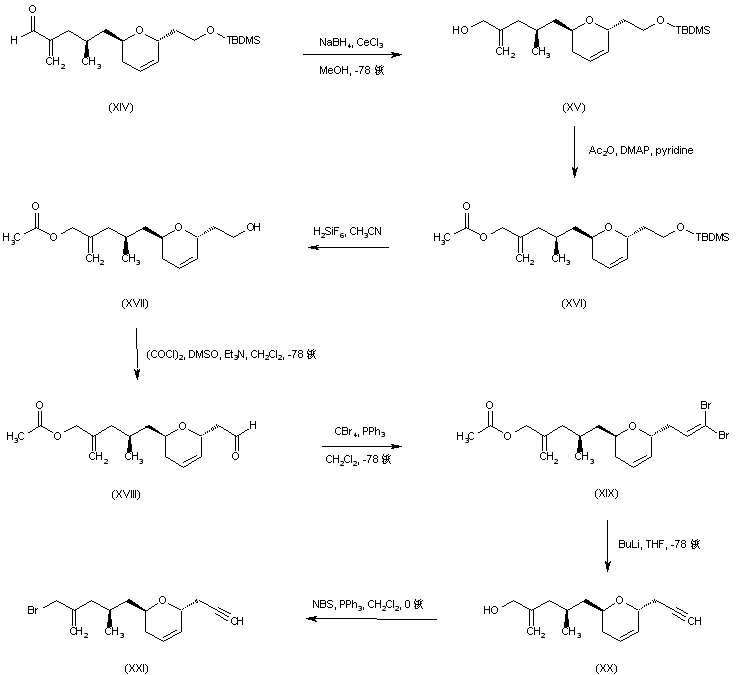
合成路线图解说明:

Selective reduction of the conjugated aldehyde (XIV) by means of NaBH4 in the presence of CeCl3 leads to the allylic alcohol (XV), which is further protected as the acetate ester (XVI) with acetic anhydride and DMAP. The silyl ether group in (XVI) is removed by treatment with hexafluorosilicic acid, and the deprotected alcohol (XVII) is then oxidized under Swern conditions providing aldehyde (XVIII). Condensation of aldehyde (XVIII) with CBr4 and PPh3 produces the gem dibromo olefin (XIX), which upon treatment with butyllithium in cold THF gives rise to acetylene (XX). Then, bromination of the allylic alcohol moiety in (XX) employing N-bromosuccinimide/triphenylphosphine reagent furnishes the allyl bromide intermediate (XXI).

合成路线图解说明:

Horner-Emmons condensation of aldehyde (XXII) with phosphonate (XXIII) leads to the unsaturated ester (XXIV), which is reduced to the allylic alcohol (XXV) by means of DIBAL in cold CH2Cl2. After protection of alcohol (XXV) as the corresponding pivalate ester (XXVI), selective hydrolysis of the acetonide group gives diol (XXVII). Subsequent oxidative cleavage of (XXVII) with NaIO4 furnishes aldehyde (XXVIII), which is oxidized by means of NaClO2 to yield, after esterification with trimethylsilyl diazomethane, the carboxylate ester (XXIX). Condensation of ester (XXIX) with the lithium derivative of dimethyl methylphosphonate, followed by reprotection with pivaloyl chloride affords the keto phosphonate (XXX). This is then condensed with 4-methyl-3,6-dihydro-2H-pyran-2-carbaldehyde (XXXI) producing the conjugated ketone (XXXII), which is stereoselectively reduced to alcohol (XXXIII) by means of L-selectride in cold THF.

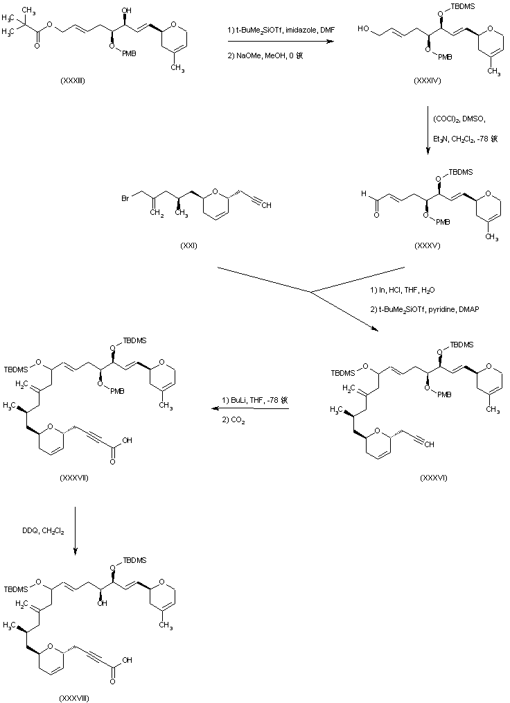
合成路线图解说明:

Silylation of alcohol (XXXIII), followed by methanolysis of the pivalate ester provides the allylic alcohol (XXXIV), which is further subjected to Swern oxidation to produce aldehyde (XXXV). Indium-mediated coupling between aldehyde (XXXV) and the allylic bromide (XXI), and then silylation with t-butyldimethylsilyl triflate generates adduct (XXXVI) as a diastereomeric mixture. The lithiated derivative of acetylene (XXXVI) is reacted with CO2 to afford carboxylic acid (XXXVII). The O-p-methoxybenzyl protecting group in (XXXVII) is then removed by treatment with DDQ to produce alcohol (XXXVIII).

合成路线图解说明:

Hydroxy acid (XXXVIII) is subjected to Yamaguchi macrolactonization with trichlorobenzoyl chloride and 4-dimethylaminopyridine to yield lactone (XXXIX). Partial hydrogenation of the triple bond in lactone (XXXIX) over Lindlar's catalyst provides olefin (XL). After chromatographic separation of the required diastereoisomer of (XL) the tert-butyldimethylsilyl protecting groups are finally removed by means of hexafluorosilicic acid in acetonitile.

Drug Information Express,Drug R&D,Chemical Database,Patent Search.
Copyright © 2006-2026 Drug Future. All rights reserved.Contact Us