【药物名称】(+)-AC-7954
化学结构式(Chemical Structure):
参考文献No.695181
标题:Discovery of the first nonpeptide agonist of the GPR14/urotensin-II receptor: 3-(4-Chlorophenyl)-3-(2-(dimethylamino)ethyl)isochroman-1-one (AC-7954)
作者:Croston, G.E.; Olsson, R.; Currier, E.A.; Burstein, E.S.; Weiner, D.; Nash, N..; Severance, D.; Allenmark, S.G.; Thunberg, L.; Ma, J.-N.; Mohell, N.; O'Dowd, B.; Brann, M.R.; Hacksell, U.
来源:J Med Chem 2002,45(23),4950
合成路线图解说明:

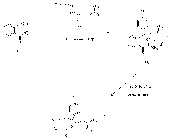
Addition of the dilithium salt of N-methyl-o-toluamide (I) to 4-chloro-3'-(dimethylamino)propiophenone (II) produces intermediate (III). Cyclization of (III) in refluxing o-dichlorobenzene generates the target isobenzochromanone compound, which is finally isolated as the corresponding hydrochloride salt

Drug Information Express,Drug R&D,Chemical Database,Patent Search.
Copyright © 2006-2026 Drug Future. All rights reserved.Contact Us