【药物名称】
化学结构式(Chemical Structure):
参考文献No.694603
标题:Synthesis and biological activity of novel lipophilic tails of lipopeptides
作者:Zhang, Y.; et al.
来源:42nd Intersci Conf Antimicrob Agents Chemother (Sept 27 2002, San Diego) 2002,Abst F-348
合成路线图解说明:

Enzymatic hydrolysis of the N-decanoyl moiety of the daptomycin derivative (I) employing deacylase from Actinoplanes utahensis gives the aminoacid core (II). Reacylation of (II) with 4'-chloro-4-biphenylylacetic acid (III) via activation with DCC and pentafluorophenol affords amide (IV).

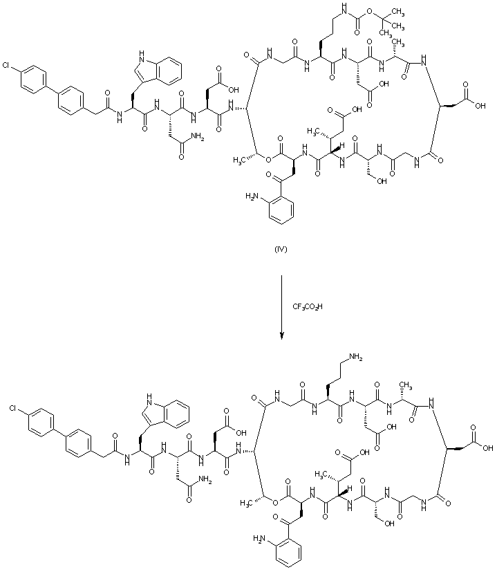
合成路线图解说明:

The N-Boc group of (IV) is finally removed by treatment with trifluoroacetic acid to furnish the title compound.

Drug Information Express,Drug R&D,Chemical Database,Patent Search.
Copyright © 2006-2026 Drug Future. All rights reserved.Contact Us