【药物名称】
化学结构式(Chemical Structure):
参考文献No.57507
标题:Aza- and polyaza-naphthalenyl ketones useful as HIV integrase inhibitors
作者:Young, S.D.; Guare, J.P.; Wai, J.S.; Payne, L.S.; Fisher, T.E.; Zhuang, L.; Embrey, M. (Merck & Co., Inc.)
来源:WO 0236734
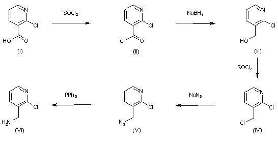
合成路线图解说明:

The intermediate 2-chloropyridin-3-ylmethylamine (VI) has been obtained as follows. The reaction of 2-chloropyridine-3-carboxylic acid (I) with refluxing SOCl2 gives the corresponding acyl chloride (II), which is reduced by means of NaBH4 in water to yield the carbinol (III). The reaction of (III) with SOCl2 in toluene affords the chloromethyl derivative (IV), which is treated with esther NaN3 in DMF or LiN3 ijn DMSO to provide the azidomethyl derivative (V). Finally, this compound is reduced with PPh3 in THF/water or H2, Pd/C in EtOH to furnish the desired 2-chloropyridin-3-ylmethylamine intermediate (VI).

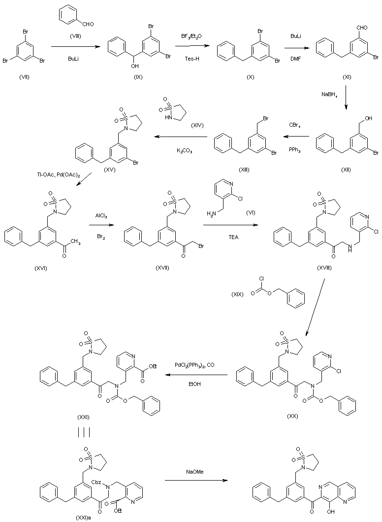
合成路线图解说明:

The condensation of 1,3,5-tribromobenzene (VII) with benzaldehyde (VIII) by means of BuLi in ethyl ether gives 3,5-dibromodiphenylmethanol (IX), which is reduced with Tes-H and BF3/Et2O to yield 3,5-dibromodiphenylmethane (X). The carbonylation of (X) with BuLi and DMF in THF affords the benzaldehyde (XI), which is reduced by means of NaBH4 in methanol to provide the benzyl alcohol (XII). The reaction of (XII) with CBr4 and PPh3 in dichloromethane gives the bromomethyl derivative (XIII), which is condensed with 1,3-propanesultam (XIV) by means of K2CO3 in refluxing acetonitrile to yield the adduct (XV). The reaction of (XV) with thalium acetate and palladium acetate in DMF affords the acetyl derivative (XVI), which is brominated with Br2 and AlCl3 in dioxane to provide the bromoacetyl compound (XVII). The condensation of (XVII) with the intermediate amine (VI) by means of TEA in acetonitrile gives the secondary amine (XVIII), which is protected with benzyl chloroformate (XIX) to yield the carbamate (XX). The carboxylation of (XX) by means of CO, EtOH, TEA and PdCl2(PPh3)2 in ethyl acetate affords the pyridine-2-carboxylate derivative (XXI), which is finally cyclized by means of NaOMe in THF to provide the target naphthyridine derivative.

参考文献No.714392
标题:Design and synthesis of 8-hydroxy-[1,6]naphthyridines as novel inhibitors of HIV-1 integrase in vitro and in infected cells
作者:Zhuang, L.; Wai, J.S.; Embrey, M.W.; Fisher, T.E.; Egbertson, M.S.; Payne, L.S.; Guare, J.P. Jr.; Vacca, J.P.; Hazuda, D.J.; Felock, P.J.; Wolfe, A.L.; Stillmock, K.A.; Witmer, M.V.; Moyer, G.; Schleif, W.A.; Gabryelski, L.J.; Leonard, Y.M.; et al.
来源:J Med Chem 2003,46(4),453
合成路线图解说明:

The intermediate 2-chloropyridin-3-ylmethylamine (VI) has been obtained as follows. The reaction of 2-chloropyridine-3-carboxylic acid (I) with refluxing SOCl2 gives the corresponding acyl chloride (II), which is reduced by means of NaBH4 in water to yield the carbinol (III). The reaction of (III) with SOCl2 in toluene affords the chloromethyl derivative (IV), which is treated with esther NaN3 in DMF or LiN3 ijn DMSO to provide the azidomethyl derivative (V). Finally, this compound is reduced with PPh3 in THF/water or H2, Pd/C in EtOH to furnish the desired 2-chloropyridin-3-ylmethylamine intermediate (VI).

合成路线图解说明:

The condensation of 1,3,5-tribromobenzene (VII) with benzaldehyde (VIII) by means of BuLi in ethyl ether gives 3,5-dibromodiphenylmethanol (IX), which is reduced with Tes-H and BF3/Et2O to yield 3,5-dibromodiphenylmethane (X). The carbonylation of (X) with BuLi and DMF in THF affords the benzaldehyde (XI), which is reduced by means of NaBH4 in methanol to provide the benzyl alcohol (XII). The reaction of (XII) with CBr4 and PPh3 in dichloromethane gives the bromomethyl derivative (XIII), which is condensed with 1,3-propanesultam (XIV) by means of K2CO3 in refluxing acetonitrile to yield the adduct (XV). The reaction of (XV) with thalium acetate and palladium acetate in DMF affords the acetyl derivative (XVI), which is brominated with Br2 and AlCl3 in dioxane to provide the bromoacetyl compound (XVII). The condensation of (XVII) with the intermediate amine (VI) by means of TEA in acetonitrile gives the secondary amine (XVIII), which is protected with benzyl chloroformate (XIX) to yield the carbamate (XX). The carboxylation of (XX) by means of CO, EtOH, TEA and PdCl2(PPh3)2 in ethyl acetate affords the pyridine-2-carboxylate derivative (XXI), which is finally cyclized by means of NaOMe in THF to provide the target naphthyridine derivative.

Drug Information Express,Drug R&D,Chemical Database,Patent Search.
Copyright © 2006-2026 Drug Future. All rights reserved.Contact Us