【药物名称】DRF-8569
化学结构式(Chemical Structure):
参考文献No.694597
标题:Geometrical and regioisomeric effects on biological activity of some novel stilbene-type oxazolidinones
作者:Das, J.; et al.
来源:42nd Intersci Conf Antimicrob Agents Chemother (Sept 27 2002, San Diego) 2002,Abst F-1325
合成路线图解说明:

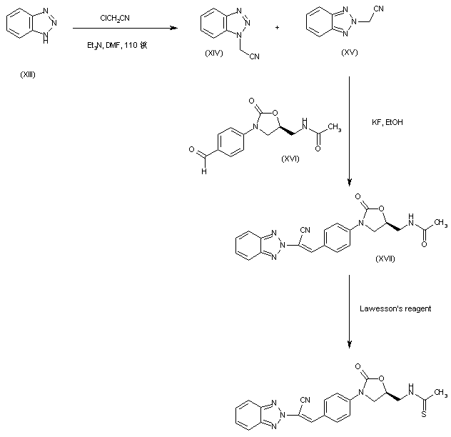
Alkylation of benzotriazole (XIII) with chloroacetonitrile leads to a mixture of regioisomeric cyanomethyl derivatives (XIV) and (XV). The minor isomer (XV) is then condensed with aldehyde (XII) employing ethanolic KF to produce the substituted acrylonitrile (XVI). Finally, the acetamide function of (XVI) is converted into the target thioamide by treatment with Lawesson's reagent

参考文献No.694599
标题:Synthesis and antibacterial activity of novel chalcone oxazolidinone hybrids
作者:Selvakumar, N.; et al.
来源:42nd Intersci Conf Antimicrob Agents Chemother (Sept 27 2002, San Diego) 2002,Abst F-1323
合成路线图解说明:

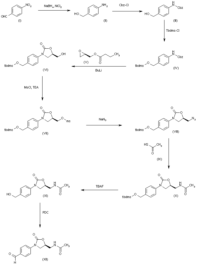
The intermediate benzaldehyde (XII) has been obtained as follows: The reduction of 4-nitrobenzaldehyde (I) with NaBH4 and NiCl2 gives 4-aminobenzyl alcohol (II), which is treated with benzyl chloroformate to yield the carbamate (III). The protection of the OH group of (III) with Tbdms-Cl affords the silyl ether (IV). The cyclization of (IV) with glycidyl butyrate (V) by means of BuLi provides the hydroxymethyl oxazolidinone (VI), which is treated with MsCl and TEA to give the mesylate (VII). The reaction of (VII) with NaN3 yields the azidomethyl compound (VIII), which is condensed with thioacetic acid (IX) to afford the acetamide (X). The cleavage of the Tbdms protecting group of (X) by means of TBAF provides the benzyl alcohol (XI), which is oxidized with PDC to furnish the target benzaldehyde intermediate (XII)

合成路线图解说明:

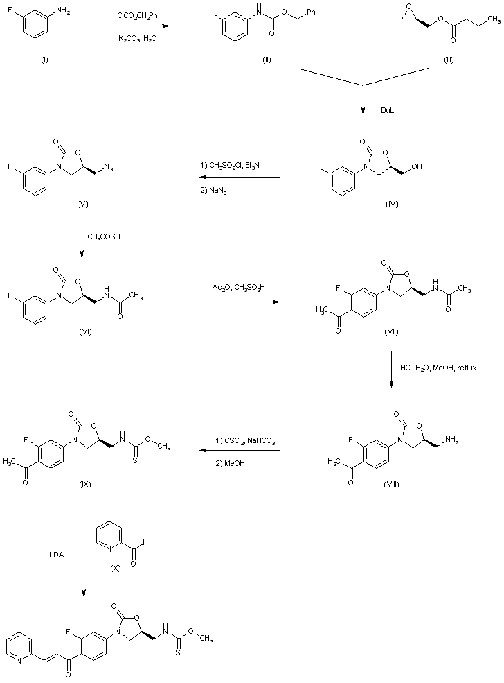
3-Fluoroaniline (I) is condensed with benzyl chloroformate to give carbamate (II). Reaction of (II) with (R)-glycidol butyrate (III) in the presence of butyllithium affords oxazolidinone (IV). After conversion of alcohol (IV) to the corresponding mesylate, displacement with NaN3 provides azide (V). Reduction and acylation of (V) by means of thioacetic acid leads to acetamide (VI). Friedel-Crafts acylation of the aromatic ring of (VI) with acetic anhydride in the presence of methanesulfonic acid furnishes acetophenone (VII). Acidic hydrolysis of acetamide (VII) yields amine (VIII). This is then treated with thiophosgene, followed by methanol, to produce the thiocarbamate (IX). Finally, aldol condensation of the acetophenone (IX) with pyridine-2-carbaldehyde (X) gives rise to the target compound.

Drug Information Express,Drug R&D,Chemical Database,Patent Search.
Copyright © 2006-2026 Drug Future. All rights reserved.Contact Us