【药物名称】VRC-3885
化学结构式(Chemical Structure):
参考文献No.694596
标题:Combinatorial lead optimization of oxazolidinones: In vitro activity of novel 5-amidomethyl thiomorpholine S-oxide and S,S-dioxide phenyloxazolidiones
作者:Zhou, J.; et al.
来源:42nd Intersci Conf Antimicrob Agents Chemother (Sept 27 2002, San Diego) 2002,Abst F-1319
合成路线图解说明:

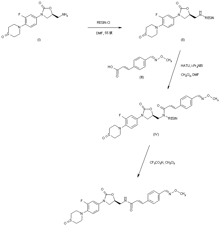
The title compound is prepared by solid phase synthesis utilizing a chloro-derivatized Sasrin resin. Coupling of aminomethyl oxazolidinone (I) to the chloromethyl resin affords the amine bound resin (II). This is then acylated with the cinnamic acid derivative (III) by means of HATU to furnish the corresponding amide (IV). Finally, cleavage of the target amide from resin (IV) is effected by treatment with 10% trifluoroacetic acid in CH2Cl2.

Drug Information Express,Drug R&D,Chemical Database,Patent Search.
Copyright © 2006-2026 Drug Future. All rights reserved.Contact Us