【药物名称】VRC-4334
化学结构式(Chemical Structure):
参考文献No.694586
标题:N- and C-terminal modifications of negamycin
作者:Raju, B.; Mortell, K.; O'Dowd, H.; et al.
来源:42nd Intersci Conf Antimicrob Agents Chemother (Sept 27 2002, San Diego) 2002,Abst F-1685
合成路线图解说明:

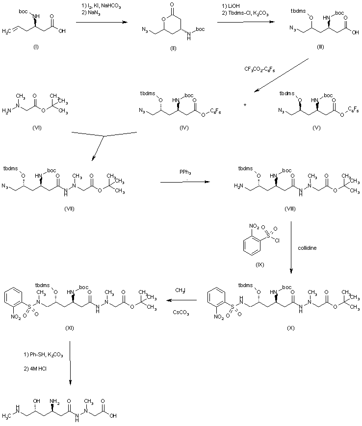
The reaction of 3(R)-(tert-butoxycarbonylamino)-5-hexenoic acid (I) first with KI and I2, and then with NaN3 gives 6-azido-3(R)-(tert-butoxycarbonylamino)hexano-5-lactone (II), which is hydrolyzed with LiOH and protected with Tbdms-Cl to yield 6-azido-3(R)-(tert-butoxycarbonylamino)-5-(tert-butyldimethylsilyloxy)hexanoic acid (III). The reaction of acid (III) with pentafluorophenyl trifluoroacetate affords the corresponding activated ester as a mixture of diastereomers (IV) + (V). After separation, the desired diastereomer (IV) is condensed with 2-(1-methylhydrazino)acetic acid tert-butyl ester (VI) to provide the corresponding hydrazide (VII), which is reduced at the azido group by means of PPh3 in THF/water to give the amino compound (VIII). The condensation of (VIII) with 2-nitrophenylsulfonyl chloride (IX) by means of collidine in dichloromethane yields the sulfonamide (X), which is methylated with MeI and Cs2CO3 in DMF to afford the N-methylsulfonamide (XI). Finally, this compound is deprotected by reaction first with PhSH and K2CO3 and then with 4M HCl to provide the target hydrazide.

Drug Information Express,Drug R&D,Chemical Database,Patent Search.
Copyright © 2006-2026 Drug Future. All rights reserved.Contact Us