【药物名称】SB-656104(free base), SB-656104-A
化学结构式(Chemical Structure):
参考文献No.56976
标题:Sulfonamide cpds., their preparation and use
作者:Forbes, I.T.; Gribble, A.D. (GlaxoSmithKline plc)
来源:WO 0262788
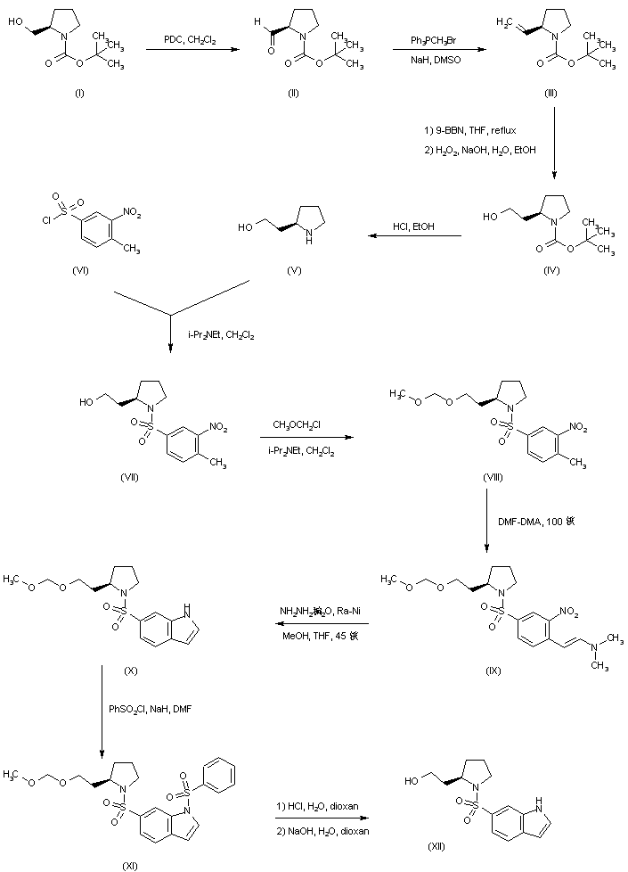
合成路线图解说明:

Oxidation of N-Boc-D-prolinol (I) with pyridinium dichromate affords aldehyde (II). This is subjected to Wittig condensation with methylene triphenylphosphorane to furnish N-Boc-2-vinylpyrrolidine (III). Hydroboration of (III) with 9-borabicyclononane, followed by oxidative work-up, leads to the primary alcohol (IV). Subsequent acidic Boc group cleavage in (IV) provides 2-pyrrolidinyl ethanol (V). Acylation of amine (V) with 4-methyl-3-nitrobenzenesulfonyl chloride (VI) gives sulfonamide (VII). The hydroxyl group of (VII) is further protected with methoxymethyl chloride, producing the methoxymethyl ether (VIII). Conversion of the ortho-nitrotoluene system (VIII) into indole (X) is then accomplished according to the Leimgruber-Batcho procedure, by condensation of (VIII) with dimethylformamide dimethylacetal, followed by reduction of the resultant nitro enamine (IX) with hydrazine in the presence of Raney nickel. Protection of the indole N of (X) with benzenesulfonyl chloride and NaH affords sulfonamide (XI). After acidic hydrolysis of the methoxymethyl protecting group of (XI), the N-phenylsulfonyl group is removed under alkaline conditions to yield indole (XII)

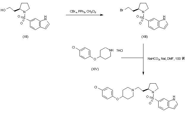
合成路线图解说明:

Conversion of alcohol (XII) into alkyl bromide (XIII) is carried out by treatment with carbon tetrabromide and triphenylphosphine. Then condensation of bromide (XIII) with 4-(4-chlorophenoxy)piperidine (XIV) in the presence of NaI and NaHCO3 produces the title compound

参考文献No.705878
标题:SB-656104-A: A novel 5-HT(7) receptor antagonist with improved in vivo properties
作者:Forbes, I.T.; Douglas, S.; Gribble, A.D.; Ife, R.J.; Lightfoot, A.P.; Garner, A.E.; Riley, G.J.; Jeffery, P.; Stevens, A.J.; Stean, T.O.; Thomas, D.R.
来源:Bioorg Med Chem Lett 2002,12(22),3341
合成路线图解说明:

Conversion of alcohol (XII) into alkyl bromide (XIII) is carried out by treatment with carbon tetrabromide and triphenylphosphine. Then condensation of bromide (XIII) with 4-(4-chlorophenoxy)piperidine (XIV) in the presence of NaI and NaHCO3 produces the title compound

Drug Information Express,Drug R&D,Chemical Database,Patent Search.
Copyright © 2006-2026 Drug Future. All rights reserved.Contact Us