【药物名称】JNJ-10391849
化学结构式(Chemical Structure):
参考文献No.49748
标题:Antibacterial heterobicyclic substd. phenyl oxazolidinones
作者:Hlasta, D.; Paget, S. (Ortho-McNeil Pharmaceutical, Inc.)
来源:EP 1206469; US 6413981; WO 0142242
合成路线图解说明:

Intramolecular Diels-Alder reaction of the N-pyrazinylmethyl-N-propargyl carbamate (I), with subsequent extrusion of HCN, gave rise to a mixture of the isomeric pyrrolopyridines (II) and (III). Acidic hydrolysis of the pyrrolo[3,4-b]pyridine carbamate (III) provided the bicyclic amine (IV). This was condensed with 3,4-difluoronitrobenzene (V) to give the aryl amine (VI). Catalytic hydrogenation of the nitro group of (VI) yielded aniline (VII), which was converted to the benzyl carbamate (VIII) upon treatment with benzyl chloroformate. The chiral oxazolidinone (X) was then obtained by condensation of the lithium salt of carbamate (VIII) with (R)-glycidyl butyrate (IX) at -78 C. Conversion of alcohol (X) to mesylate (XI), and subsequent mesylate displacement with NaN3 in hot DMF, furnished azide (XII). Finally, hydrogenation of azide (XII) to the corresponding amine, followed by acylation with Ac2O, led to the target acetamide.

合成路线图解说明:

Intramolecular Diels-Alder reaction of the N-pyrazinylmethyl-N-propargyl carbamate (I), with subsequent extrusion of HCN, gave rise to a mixture of the isomeric pyrrolopyridines (II) and (III). Acidic hydrolysis of the pyrrolo[3,4-c]pyridine carbamate (III) provided the bicyclic amine (IV). This was condensed with 3,4-difluoronitrobenzene (V) to give the aryl amine (VI). Catalytic hydrogenation of the nitro group of (V) yielded aniline (VII), which was converted to the benzyl carbamate (VIII) upon treatment with benzyl chloroformate. The chiral oxazolidinone (X) was then obtained by condensation of the lithium salt of carbamate (VIII) with (R)-glycidyl butyrate (IX) at -78 C. Conversion of alcohol (X) to mesylate (XI), and subsequent mesylate displacement with NaN3 in hot DMF, furnished azide (XII). Finally, hydrogenation of azide (XII) to the corresponding amine, followed by acylation with Ac2O, led to the target acetamide.

合成路线图解说明:

Condensation of pyrrolidinone (XIII) with methoxy-bis(dimethylamino)methane gives the beta-ketoenamine (XIV). Then, cyclization of (XIV) with 2 amidinopyridine (XV) generates the target pyrrolopyrimidine system.

参考文献No.694403
标题:Synthesis and antibacterial activity of pyrrolopyrimidine oxazolidinones
作者:Paget, S.; Boggs, C.; Foleno, B.; Goldschmidt, R.; Hilliard, J.; Wira, E.; Bush, K.; Macielag, M.
来源:42nd Intersci Conf Antimicrob Agents Chemother (Sept 27 2002, San Diego) 2002,Abst F-1318
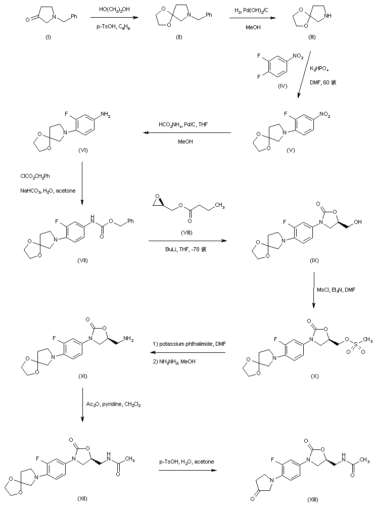
合成路线图解说明:

After protection of 1-benzyl-3-pyrrolidinone (I) as the corresponding ethylene ketal (II) with ethylene glycol and p-toluenesulfonic acid, N-benzyl group hydrogenolysis over Pearlman's catalyst provides the secondary amine (III). Subsequent condensation of amine (III) with 3,4-difluoronitrobenzene (IV) in hot DMF furnishes the N-aryl pyrrolidine (V). Reduction of the nitro group of (V) by transfer hydrogenation with ammonium formate and Pd/C leads to aniline (VI). This is further acylated with benzyl chloroformate producing carbamate (VII). Then, reaction of the lithium anion of carbamate (VII) with (R)-glycidyl butyrate (VIII) gives rise to oxazolidinone (IX). After conversion of alcohol (IX) to mesylate (X), the primary amine (XI) is obtained by Gabriel synthesis with potassium phthalimide, followed by hydrazinolysis. Acylation of amine (XI) with Ac2O produces amide (XII). The ethylene ketal of (XII) is then hydrolyzed with p toluenesulfonic acid in aqueous acetone, providing pyrrolidinone (XIII).

合成路线图解说明:

Condensation of pyrrolidinone (XIII) with methoxy-bis(dimethylamino)methane gives the beta-ketoenamine (XIV). Then, cyclization of (XIV) with 2 amidinopyridine (XV) generates the target pyrrolopyrimidine system.

Drug Information Express,Drug R&D,Chemical Database,Patent Search.
Copyright © 2006-2026 Drug Future. All rights reserved.Contact Us