【药物名称】
化学结构式(Chemical Structure):
参考文献No.694400
标题:Bis(sulfonamides) as inhibitors of aroB. Unsymmetrical sulfonamide substitution and diamine core SAR
作者:Cockerill, G.S.; et al.
来源:42nd Intersci Conf Antimicrob Agents Chemother (Sept 27 2002, San Diego) 2002,Abst F-739
合成路线图解说明:

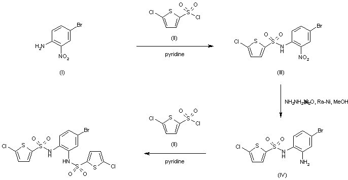
Acylation of 4-bromo-2-nitroaniline (I) with 5-chlorothiophene-2-sulfonyl chloride (II) in pyridine affords sulfonamide (III). The nitro group of (III) is then reduced to amine (IV) by means of hydrazine hydrate in the presence of Raney nickel. Further acylation of amine (IV) with sulfonyl chloride (II) furnishes the target bis-sulfonamide.

Drug Information Express,Drug R&D,Chemical Database,Patent Search.
Copyright © 2006-2026 Drug Future. All rights reserved.Contact Us