【药物名称】PNU-293180
化学结构式(Chemical Structure):
参考文献No.694396
标题:Synthesis and antibacterial activities of oxazolidinones incorporating C-ring oxetanes and thietanes
作者:Hao, Y.; Barbachyn, M.R.; Greene, M.L.; et al.
来源:42nd Intersci Conf Antimicrob Agents Chemother (Sept 27 2002, San Diego) 2002,Abst F-1321
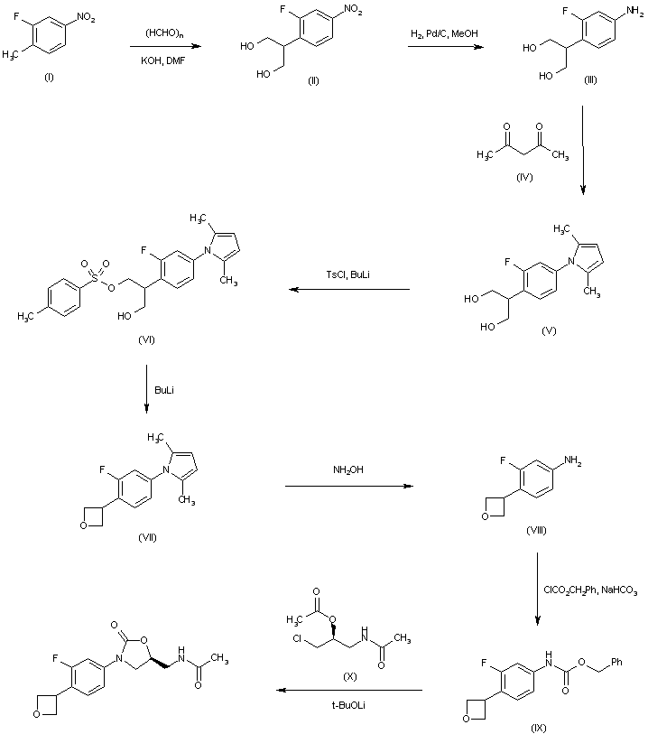
合成路线图解说明:

Condensation of 2-fluoro-4-nitrotoluene (I) with paraformaldehyde under basic conditions affords diol (II). Nitro group reduction in (II) by hydrogenation over Pd/C yields aniline (III), which is further protected with acetylacetone (IV), to produce the pyrrole derivative (V). After conversion of diol (V) into the mono-tosylate (VI), cyclization in the presence of BuLi furnishes the oxetane derivative (VII). Removal of the pyrrole moiety of (VII) by treatment with hydroxylamine provides amine (VIII), which is converted to the carbamate (IX) by acylation with benzyl chloroformate. Finally, condensation of (IX) with (S)-N,O-diacetyl-1-amino-3-chloro-2-propanol (X) in the presence of lithium t-butoxide produces the required oxazolidinone derivative.

Drug Information Express,Drug R&D,Chemical Database,Patent Search.
Copyright © 2006-2026 Drug Future. All rights reserved.Contact Us