【药物名称】
化学结构式(Chemical Structure):
参考文献No.694399
标题:Phenyl-thiazolylurea-sulfonamides as novel inhibitors of phenylalanine-tRNA synthetase
作者:Beyer, D.; Kroll, H.; Bauser, M.; Siegel, S.; Brotz, H.; Endermann, R.; Schiffer, G.; Ziegelbauer, K.; Habich, D.; Pohlmann, J.
来源:42nd Intersci Conf Antimicrob Agents Chemother (Sept 27 2002, San Diego) 2002,Abst F-756
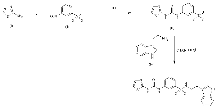
合成路线图解说明:

2-Aminothiazole (I) is coupled to 3-fluorosulfonylphenyl isocyanate (II) producing the diaryl urea (III). Subsequent reaction of sulfonyl fluoride (III) with tryptamine (IV) in hot acetonitrile furnishes the target sulfonamide.

Drug Information Express,Drug R&D,Chemical Database,Patent Search.
Copyright © 2006-2026 Drug Future. All rights reserved.Contact Us