【药物名称】JNJ-17155437
化学结构式(Chemical Structure):
参考文献No.55248
标题:Ketolide antibacterials
作者:Hlasta, D.; Khosla, C.; Chu, D.T.W.; Ashley, G.; Henninger, T.C.; Grant, E.B. (Ortho-McNeil Pharmaceutical, Inc.)
来源:WO 0232918
合成路线图解说明:

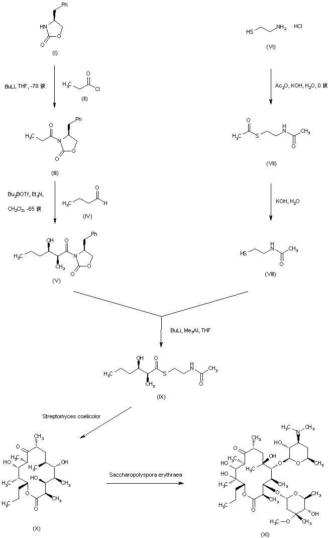
Preparation of the 15-methylerythromycin A precursor (XI) is accomplished by a chemobiosynthetic approach, utilizing the diketide surrogate (IX). Synthesis of (IX) is carried out as follows. Acylation of (S)-4-benzyl-2-oxazolidinone (I) with propionyl chloride (II) affords the N-propionyl oxazolidinone (III). Diastereoselective aldol condensation of (III) with butyraldehyde (IV) employing dibutylboron triflate leads to adduct (V). Deacetylation of cysteamine hydrochloride (VI) with Ac2O provides (VII). Then, selective hydrolysis of the thioester function of (VII) under alkaline conditions provides thiol (VIII). Condensation of the acyl oxazolidinone (V) with thiol (VIII) in the presence of AlMe3 gives rise to the thioester substrate (IX) (1). Incubation of a recombinant Streptomyces coelicolor strain with the diketide surrogate (IX) leads to the production of 6-deoxy-15-methylerythronolide B (X). Subsequent bioconversion of the aglycone (X) in a Saccharopolyspora erythraea strain affords the desired 15-methylerythromycin A (XI).

合成路线图解说明:

The obtained 15 methylerythromycin A (XI) is chemically modified as follows. Treatment of ketone (XI) with hydroxylamine and AcOH provides oxime (XII), which is further converted into oxime acetal (XIV) by condensation with 1,1-diisopropoxycyclohexane (XIII) in the presence of PPTS. The sugar hydroxyl groups of (XIV) are then protected by silylation with trimethylsilyl chloride/trimethylsilyl imidazole to yield the 2',4''-bis-silyl ether (XV). Then, alkylation of the 6-hydroxyl group of (XV) with allyl t-butyl carbonate (XVI) in the presence of Pd(OAc)2 provides allyl ether (XVII). Further acidic hydrolysis of the acetal and silyl ether groups of (XVII) affords oxime (XVIII).

合成路线图解说明:

Removal of the oxime functionality of (XVIII) by means of sodium hydrosulfite and formic acid gives ketone (XIX). The C-3 sugar moiety is then cleaved under smooth acidic hydrolysis conditions yielding the des-cladinose analogue (XX). After protection of the 2'-hydroxyl group of the desosamine moiety of (XX) as the benzoate ester (XXI), its 3-hydroxyl is oxidized with either NCS/Me2S or with DMSO/EDC, producing the ketolide derivative (XXII). The C-11 secondary hydroxyl of (XXII) is then converted to mesylate (XXIII) by treatment with methanesulfonyl chloride in pyridine.

合成路线图解说明:

Elimination of the mesylate group of (XXIII) utilizing DBU in acetone leads to the 10,11-anhydro ketolide (XXIV). Acylation of (XXIV) with carbonyl diimidazole and NaH, followed by treatment with ammonium hydroxide gives rise to the 11,12-cyclic carbamate (XXV). Subsequent Heck coupling of allyl ether (XXV) with 3-bromo-1,8-naphthyridine (XXVI) leads to the (naphthyridinyl)propenyl derivative (XXVII). Then, fluorination of (XXVII) with N-fluorobenzenesulfonimide furnishes the 2-fluoro ketolide (XXVIII). Finally, the benzoate ester group of (XXVIII) is removed in refluxing MeOH to provide the title compound.

参考文献No.694397
标题:Structure-activity studies of 15-methyl ketolides: Optimization of the heterocyclic substituent
作者:Macielag, M.; Abbanat, D.; Ashley, G.; Foleno, B.; Fu, H.; Li, Y.; Wira, E.; Bush, K.
来源:42nd Intersci Conf Antimicrob Agents Chemother (Sept 27 2002, San Diego) 2002,Abst F-1662
合成路线图解说明:

Preparation of the 15-methylerythromycin A precursor (XI) is accomplished by a chemobiosynthetic approach, utilizing the diketide surrogate (IX). Synthesis of (IX) is carried out as follows. Acylation of (S)-4-benzyl-2-oxazolidinone (I) with propionyl chloride (II) affords the N-propionyl oxazolidinone (III). Diastereoselective aldol condensation of (III) with butyraldehyde (IV) employing dibutylboron triflate leads to adduct (V). Deacetylation of cysteamine hydrochloride (VI) with Ac2O provides (VII). Then, selective hydrolysis of the thioester function of (VII) under alkaline conditions provides thiol (VIII). Condensation of the acyl oxazolidinone (V) with thiol (VIII) in the presence of AlMe3 gives rise to the thioester substrate (IX) (1). Incubation of a recombinant Streptomyces coelicolor strain with the diketide surrogate (IX) leads to the production of 6-deoxy-15-methylerythronolide B (X). Subsequent bioconversion of the aglycone (X) in a Saccharopolyspora erythraea strain affords the desired 15-methylerythromycin A (XI).

合成路线图解说明:

The obtained 15 methylerythromycin A (XI) is chemically modified as follows. Treatment of ketone (XI) with hydroxylamine and AcOH provides oxime (XII), which is further converted into oxime acetal (XIV) by condensation with 1,1-diisopropoxycyclohexane (XIII) in the presence of PPTS. The sugar hydroxyl groups of (XIV) are then protected by silylation with trimethylsilyl chloride/trimethylsilyl imidazole to yield the 2',4''-bis-silyl ether (XV). Then, alkylation of the 6-hydroxyl group of (XV) with allyl t-butyl carbonate (XVI) in the presence of Pd(OAc)2 provides allyl ether (XVII). Further acidic hydrolysis of the acetal and silyl ether groups of (XVII) affords oxime (XVIII).

合成路线图解说明:

Removal of the oxime functionality of (XVIII) by means of sodium hydrosulfite and formic acid gives ketone (XIX). The C-3 sugar moiety is then cleaved under smooth acidic hydrolysis conditions yielding the des-cladinose analogue (XX). After protection of the 2'-hydroxyl group of the desosamine moiety of (XX) as the benzoate ester (XXI), its 3-hydroxyl is oxidized with either NCS/Me2S or with DMSO/EDC, producing the ketolide derivative (XXII). The C-11 secondary hydroxyl of (XXII) is then converted to mesylate (XXIII) by treatment with methanesulfonyl chloride in pyridine.

合成路线图解说明:

Elimination of the mesylate group of (XXIII) utilizing DBU in acetone leads to the 10,11-anhydro ketolide (XXIV). Acylation of (XXIV) with carbonyl diimidazole and NaH, followed by treatment with ammonium hydroxide gives rise to the 11,12-cyclic carbamate (XXV). Subsequent Heck coupling of allyl ether (XXV) with 3-bromo-1,8-naphthyridine (XXVI) leads to the (naphthyridinyl)propenyl derivative (XXVII). Then, fluorination of (XXVII) with N-fluorobenzenesulfonimide furnishes the 2-fluoro ketolide (XXVIII). Finally, the benzoate ester group of (XXVIII) is removed in refluxing MeOH to provide the title compound.

Drug Information Express,Drug R&D,Chemical Database,Patent Search.
Copyright © 2006-2026 Drug Future. All rights reserved.Contact Us