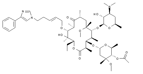
【药物名称】EP-1579
化学结构式(Chemical Structure):
参考文献No.62833
标题:11-O-Substd. macrolides and their descladinose derivs.
作者:Or, Y.S.; Phan, L.T.; Niu, D. (Enanta Pharmaceuticals, Inc.)
来源:US 2003114396; US 6673774; WO 0347600
合成路线图解说明:

Alkylation of clarithromycin diacetate (I) with allyl t-butyl carbonate (II) in the presence of palladium catalyst affords the 11-O-allyl ether (III). Subsequent metathesis reaction between ally ether (III) and 1-butenyl-4-phenylimidazole (IV) employing Grubb's catalyst provides adduct (V). Finally, methanolysis of the 2'-acetate ester of (V) gives rise to the target compound.

参考文献No.694153
标题:Syntheses and antibacterial activities of novel 11-O-substituted macrolide and ketolide derivatives
作者:Niu, D.; Phan, L.T.; Haley, T.; Polemeropoulos, A.; Or, Y.
来源:42nd Intersci Conf Antimicrob Agents Chemother (Sept 27 2002, San Diego) 2002,Abst F-1666
合成路线图解说明:

Alkylation of clarithromycin diacetate (I) with allyl t-butyl carbonate (II) in the presence of palladium catalyst affords the 11-O-allyl ether (III). Subsequent metathesis reaction between ally ether (III) and 1-butenyl-4-phenylimidazole (IV) employing Grubb's catalyst provides adduct (V). Finally, methanolysis of the 2'-acetate ester of (V) gives rise to the target compound.

Drug Information Express,Drug R&D,Chemical Database,Patent Search.
Copyright © 2006-2026 Drug Future. All rights reserved.Contact Us