【药物名称】BMS-292655
化学结构式(Chemical Structure):
参考文献No.43625
标题:Water soluble prodrugs of azole cpds.
作者:Hudyma, T.W.; Kim, O.K.; Zheng, X. (Bristol-Myers Squibb Co.)
来源:WO 0030655
合成路线图解说明:

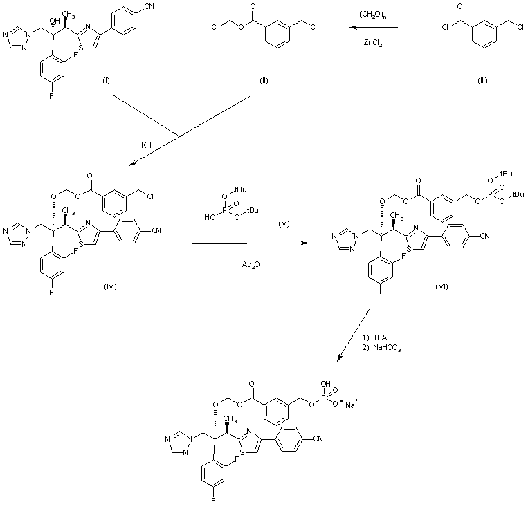
The condensation of BMS-207147 (I) with 3-(chloromethyl)benzoic acid chloromethyl ester (II) (obtained by esterification of 3-(chloromethyl)benzoyl chloride (III) with paraformaldehyde and ZnCl2) by means of KH in THF gives the adduct (IV), which is condensed with phosphoric acid di-tert-butyl ester (V) to yield the phosphate (V). Finally, this compound is hydrolyzed with TFA in dichloromethane and treated with NaHCO3 to provide the target sodium salt.

参考文献No.694057
标题:BMS-292655, a soluble prodrug of the clinically efficacious antifungal triazole, BMS-207147 (ravuconazole)
作者:Hudyma, T.W.; Zheng, X.; Clark, J.; et al.
来源:42nd Intersci Conf Antimicrob Agents Chemother (Sept 27 2002, San Diego) 2002,Abst F-816
合成路线图解说明:

The condensation of BMS-207147 (I) with 3-(chloromethyl)benzoic acid chloromethyl ester (II) (obtained by esterification of 3-(chloromethyl)benzoyl chloride (III) with paraformaldehyde and ZnCl2) by means of KH in THF gives the adduct (IV), which is condensed with phosphoric acid di-tert-butyl ester (V) to yield the phosphate (V). Finally, this compound is hydrolyzed with TFA in dichloromethane and treated with NaHCO3 to provide the target sodium salt.

Drug Information Express,Drug R&D,Chemical Database,Patent Search.
Copyright © 2006-2026 Drug Future. All rights reserved.Contact Us