【药物名称】
化学结构式(Chemical Structure):
参考文献No.57518
标题:Phenylethylamine derivs. and their use in the treatment of melanoma
作者:Riley, P.A.; Photiou, A.; Khan, T.H.; Osborn, H.M.I.; Malkin, H.
来源:EP 1303481; WO 0208174
合成路线图解说明:

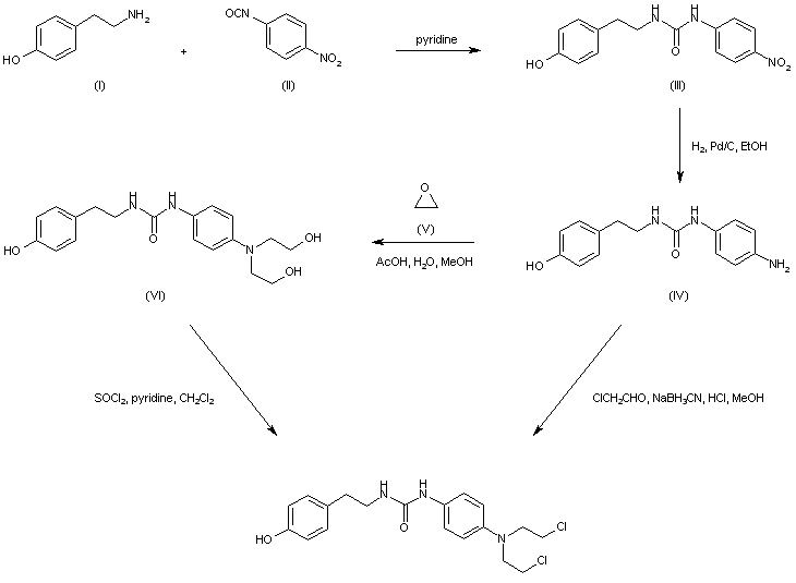
Coupling of tyramine (I) with p-nitrophenyl isocyanate (II) affords urea (III). Subsequent nitro group reduction with H2 and Pd/C gives amine (IV). Condensation of amine (IV) with ethylene oxide (V) leads to the bis-hydroxyethyl amine (VI). This is finally chlorinated employing SOCl2 in pyridine. Alternatively, amine (IV) is subjected to reductive alkylation with chloroacetaldehyde and NaBH3CN to furnish the target bis-chloroethyl amine. (1,2)

参考文献No.694834
标题:Synthesis and analysis of urea and carbamate prodrugs as candidates for melanocyte-directed enzyme prodrug therapy (MDEPT)
作者:Jordan, A.M.; Khan, T.H.; Malkin, H.; Osborn, H.M.I.
来源:Bioorg Med Chem 2002,10(8),2625
合成路线图解说明:

Coupling of tyramine (I) with p-nitrophenyl isocyanate (II) affords urea (III). Subsequent nitro group reduction with H2 and Pd/C gives amine (IV). Condensation of amine (IV) with ethylene oxide (V) leads to the bis-hydroxyethyl amine (VI). This is finally chlorinated employing SOCl2 in pyridine. Alternatively, amine (IV) is subjected to reductive alkylation with chloroacetaldehyde and NaBH3CN to furnish the target bis-chloroethyl amine. (1,2)

合成路线图解说明:

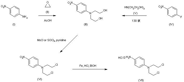
In an alternative method, p-nitroaniline (I) is reacted with ethylene oxide (II) to afford diol (III). This compound can also be prepared by condensation of 1-fluoro-4-nitrobenzene (IV) with diethanolamine (V). Chlorination of diol (III) to provide (VI) is accomplished with either mesyl chloride or SOCl2 in the presence of pyridine. Then, nitro group reduction in (VI) by means of iron and HCl affords aniline (VII).

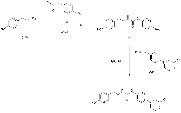
合成路线图解说明:

Reaction of tyramine (VIII) with p-nitrophenyl chloroformate (IX) gives rise to the nitrophenyl carbamate (X). Finally, coupling of (X) with aniline (VII) provides the title urea.

Drug Information Express,Drug R&D,Chemical Database,Patent Search.
Copyright © 2006-2026 Drug Future. All rights reserved.Contact Us