【药物名称】
化学结构式(Chemical Structure):
参考文献No.45257
标题:Aminopyrimidines as sorbitol dehydrogenase inhibitors
作者:Mylari, B.L.; Zembrowski, W.J.; Murry, J.A.; Chu-Moyer, M.Y. (Pfizer Products Inc.)
来源:EP 1185275; US 6414149; WO 0059510
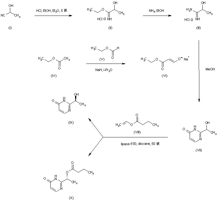
合成路线图解说明:

The chiral intermediate (X) is prepared by two methods. Treatment of lactonitrile (I) with HCl/EtOH affords imidate (II), which is further reacted with ethanolic ammonia to produce amidine (III). Claisen condensation between ethyl acetate (IV) and ethyl formate (V) in the presence of NaH provides the sodium salt of ethyl 3-hydroxyacrylate (VI). Cyclization of (VI) with amidine (III) then furnishes the racemic pyrimidinone (VII). Kinetic resolution of (VII) is accomplished by acylation with vinyl butyrate (VIII) in the presence of lipase P30 to yield a mixture of unreacted (S)-alcohol (IX) and the desired (R)-butyrate ester (X), which can be separated by partition between CH2Cl2 and H2O.

合成路线图解说明:

In an alternative synthesis of (X), treatment of (R)-2-hydroxypropionamide (XI) with triethyloxonium fluoborate affords the chiral imidate (XII), which is further converted to amidine (XIII) with ammonia in MeOH. Condensation of (XIII) with the sodium salt of ethyl 3-hydroxyacrylate (VI) leads to the (R)-2-(1-hydroxyethyl)pyrimidinone (XIV). This is then esterified with butyric anhydride to give intermediate (X).

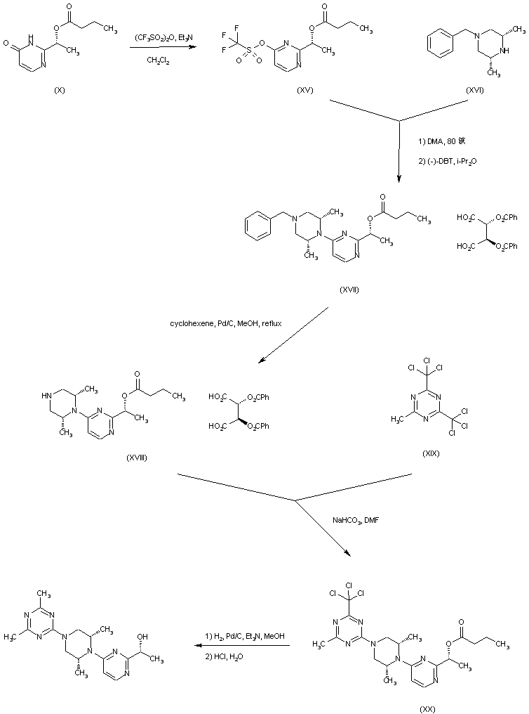
合成路线图解说明:

Pyrimidinone (X) is treated with trifluoromethanesulfonic anhydride and Et3N to provide the pyrimidinyl triflate (XV). The triflate group of (XV) is subsequently displaced with cis-1-benzyl-3,5-dimethylpiperazine (XVI) to generate the pyrimidinyl piperazine adduct as a diastereomeric mixture, from which isomer (XVII) can be isolated as the corresponding L-dibenzoyltartrate salt. Removal of the N-benzyl protecting group of (XVII) by transfer hydrogenolysis leads to piperazine (XVIII) (1). This is then coupled with 2-methyl-4,6-bis(trichloromethyl)-[1,3,5]triazine (XIX) to furnish (XX). Finally, dechlorination of (XX) by hydrogenation over Pd/C, followed by acidic ester hydrolysis gives rise to the title compound (1,2).

参考文献No.693485
标题:A sorbitol dehydrogenase inhibitor of exceptional in vivo potency with a long duration of action: 1-(R)-[4-[4-(4,6-Dimethyl[1,3,5]triazin-2-yl)-2R,6S-dimethylpiperazin-1-yl]pyrimidin-2-yl]ethanol
作者:Mylari, B.L.; Oates, P.J.; Zembrowski, W.J.; Beebe, D.A.; Conn, E.L.; Coutcher, J.B.; O'Gorman, M.T.; Linhares, M.C.; Withbroe, G.J.
来源:J Med Chem 2002,45(20),4398
合成路线图解说明:

Pyrimidinone (X) is treated with trifluoromethanesulfonic anhydride and Et3N to provide the pyrimidinyl triflate (XV). The triflate group of (XV) is subsequently displaced with cis-1-benzyl-3,5-dimethylpiperazine (XVI) to generate the pyrimidinyl piperazine adduct as a diastereomeric mixture, from which isomer (XVII) can be isolated as the corresponding L-dibenzoyltartrate salt. Removal of the N-benzyl protecting group of (XVII) by transfer hydrogenolysis leads to piperazine (XVIII) (1). This is then coupled with 2-methyl-4,6-bis(trichloromethyl)-[1,3,5]triazine (XIX) to furnish (XX). Finally, dechlorination of (XX) by hydrogenation over Pd/C, followed by acidic ester hydrolysis gives rise to the title compound (1,2).

Drug Information Express,Drug R&D,Chemical Database,Patent Search.
Copyright © 2006-2026 Drug Future. All rights reserved.Contact Us