【药物名称】
化学结构式(Chemical Structure):
参考文献No.693480
标题:Novel potent AMPA/kainate receptor antagonists: Synthesis and anticonvulsant activity of a series of 2-[(4-alkylsemicarbazono)-(4-amino- phenyl)methyl]-4,5-methylenedioxyphenylacetic acid alkyl esters
作者:Micale, N.; Zappal? M.; Grasso, S.; Puja, G.; De Sarro, G.; Ferreri, G.; De Sarro, A.; Toma, L.; De Micheli, C.
来源:J Med Chem 2002,45(20),4433
合成路线图解说明:

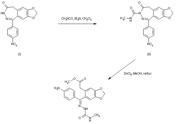
Condensation of benzodiazepinone (I) with methyl isocyanate provides the 3 (N-methylcarbamoyl) derivative (II). Reduction of the nitro group of (II) with concomitant diazepinone ring cleavage in the presence of SnCl2 in refluxing MeOH then furnishes the title compound.

Drug Information Express,Drug R&D,Chemical Database,Patent Search.
Copyright © 2006-2026 Drug Future. All rights reserved.Contact Us