【药物名称】
化学结构式(Chemical Structure):
参考文献No.57506
标题:Chemical cpds.
作者:Martin, J.A.; Ezquerra-Carrera, J.; Tebbe, M.J.; De Dios, A.; Prieto, L.; McGee, J.E.; Rubio-Esteban, A.; Smith, M.C. (Eli Lilly and Company)
来源:WO 0214261
合成路线图解说明:

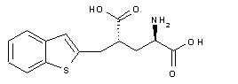
D-Glutamic acid (I) is treated with SOCl2 in EtOH to produce ethyl D-pyroglutamate (II). Further protection of (II) with di-tert-butyl dicarbonate yields the N-Boc pyroglutamate (III) (1). The lithiated derivative of (III) is alkylated with 2-(bromomethyl)benzothiophene (IV) to afford the trans alkylated isomer (V). Basic hydrolysis of (V) produces the N-Boc amino diacid (VI). Then, acidic Boc group cleavage in (VI), followed by treatment of the resultant hydrochloride salt with propylene oxide in MeOH leads to the free aminoacid (1,2).

参考文献No.693463
标题:4-Substituted D-glutamic acid analogues: The first potent inhibitors of glutamate racemase (MurI) enzyme with antibacterial activity
作者:De Dios, A.; Prieto, L.; Martin, J.A.; Rubio, A.; Ezquerra, J.; Tebbe, M.; L髉ez de Uralde, B.; Mart韓, J.; S醤chez, A.; LeTourneu, D.L.; McGee, J.E.; Boylan, C.; Parr, T.R.; Smith, M.C.
来源:J Med Chem 2002,45(20),4559
合成路线图解说明:

D-Glutamic acid (I) is treated with SOCl2 in EtOH to produce ethyl D-pyroglutamate (II). Further protection of (II) with di-tert-butyl dicarbonate yields the N-Boc pyroglutamate (III) (1). The lithiated derivative of (III) is alkylated with 2-(bromomethyl)benzothiophene (IV) to afford the trans alkylated isomer (V). Basic hydrolysis of (V) produces the N-Boc amino diacid (VI). Then, acidic Boc group cleavage in (VI), followed by treatment of the resultant hydrochloride salt with propylene oxide in MeOH leads to the free aminoacid (1,2).

Drug Information Express,Drug R&D,Chemical Database,Patent Search.
Copyright © 2006-2026 Drug Future. All rights reserved.Contact Us