【药物名称】YM-215389
化学结构式(Chemical Structure):
参考文献No.693332
标题:Synthesis and structure-activity relationships of novel non-nucleoside HIV-1 reverse transcriptase inhibitors
作者:Yamamoto, O.; Fujii, M.; Ohgami, T.; et al.
来源:42nd Intersci Conf Antimicrob Agents Chemother (Sept 27 2002, San Diego) 2002,Abst F-1700
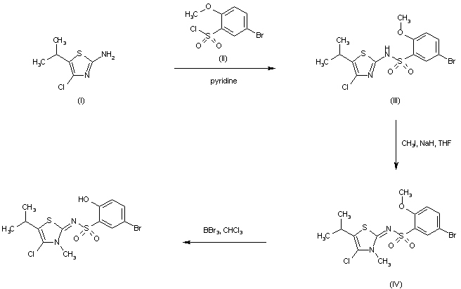
合成路线图解说明:

Acylation of 2-amino-4-chloro-5-isopropylthiazole (I) with 5-bromo-2-methoxybenzenesulfonyl chloride (II) yields sulfonamide (III). Methylation of (III) with ICH3/NaH takes place at the thiazole N, producing (IV). Finally, methyl ether cleavage in (IV) by means of BBr3 in cold CHCl3 affords the title compound.

Drug Information Express,Drug R&D,Chemical Database,Patent Search.
Copyright © 2006-2026 Drug Future. All rights reserved.Contact Us