【药物名称】PPI-0903, TAK-599
化学结构式(Chemical Structure):
参考文献No.693329
标题:TAK-599, a novel N-phosphono type prodrug of anti-MRSA cephalosporin T-91825: Synthesis, physicochemical and pharmacological properties
作者:Ishikawa, T.; Matsunaga, N.; Tawada, H.; et al.
来源:42nd Intersci Conf Antimicrob Agents Chemother (Sept 27 2002, San Diego) 2002,Abst F-332
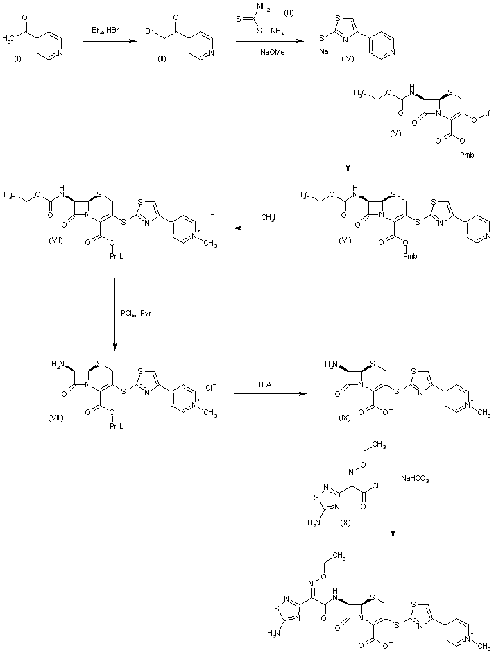
合成路线图解说明:

The bromination of 4-acetylpyridine (I) with Br2 and HBr in acetic acid gives 4-bromoacetylpyridine (II), which is cyclized with ammonium dithiocarbamate (III) and NaOMe to yield the thiazole (IV). The condensation of the sodium salt (IV) with the cephalosporanic ester (V) in THF affords the adduct (VI), which is treated with methyl iodide to provide the pyridinium salt (VII). The deprotection of (VII) with PCl5 and pyridine gives the aminocephalosporanic derivative (VIII), which is treated with TFA and anisole, yielding the inner salt (IX). Finally, this compound is condensed with the acid chloride (X) by means of NaHCO3 in THF/water to afford the target cephalosporin.

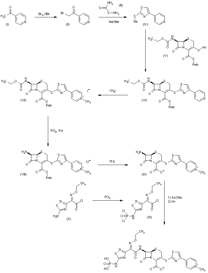
合成路线图解说明:

The bromination of 4-acetylpyridine (I) with Br2 and HBr in acetic acid gives 4-bromoacetylpyridine (II), which is cyclized with ammonium dithiocarbamate (III) and NaOMe to yield the thiazole (IV). The condensation of the sodium salt (IV) with the cephalosporanic ester (V) in THF affords the adduct (VI), which is treated with methyl iodide to provide the pyridinium salt (VII). The deprotection of (VII) with PCl5 and pyridine gives the aminocephalosporanic derivative (VIII), which is treated with TFA and anisole yielding the inner salt (IX). The reaction of 2-(5-amino-1,2,4-thiadiazol-3-yl)-2-(ethoxyimino)acetic acid (X) with PCl5 in ethyl acetate affords the 2-[5-dichlorophosphorylamino)-1,2,4-thiadiazol-3-yl]-2-(ethoxyimino)acetyl chloride (XI), which is finally condensed with the aminocephalosporanic acid (IX) by means of NaOAc and further hydrolyzed in acidic medium to provide the target phosphorylated cephalosporin.

Drug Information Express,Drug R&D,Chemical Database,Patent Search.
Copyright © 2006-2026 Drug Future. All rights reserved.Contact Us