【药物名称】LB-11058
化学结构式(Chemical Structure):
参考文献No.64478
标题:Novel cephalosporin cpds. and process for preparing the same
作者:Lee, S.-H.; Lee, C.-S.; Ryu, E.-J.; Jang, Y.-J.; Kim, G.-T.; Cho, Y.-r.; Joo, H.-Y.; Shin, J.-E.; Koo, K.-D. (LG Chem Ltd.)
来源:WO 0372582
合成路线图解说明:

Coupling of the amino cephem derivative (I) with oximino acid (II) by means of POCl3/pyridine produces amide (III). Subsequent condensation of (III) with bis(dimethylamino)t-butoxymethane affords enamine (IV), which is further hydrolyzed to aldehyde (V) under acidic conditions. Treatment of aldehyde (V) with trifluoromethanesulfonic anhydride and pyridine produces the vinyl triflate (VI)

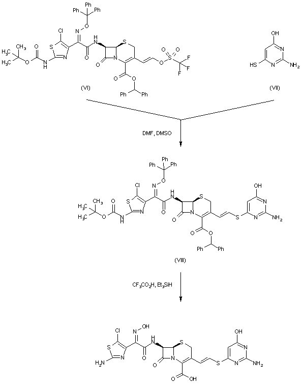
合成路线图解说明:

Displacement of the triflate group of (VI) with the pyrimidinyl thiol (VII) yields the vinyl sulfide (VIII). Then, deprotection of (VIII) by means of trifluoroacetic acid and triethylsilane gives rise to the title compound

参考文献No.693326
标题:Synthesis and antibacterial activities of LB11058, a novel anti-MRSA cephalosporin antibiotic
作者:Lee, C.; Kim, G.; Jang, Y.; Koo, K.; Cho, Y.; Youn, H.
来源:42nd Intersci Conf Antimicrob Agents Chemother (Sept 27 2002, San Diego) 2002,Abst F-329
合成路线图解说明:

Coupling of the amino cephem derivative (I) with oximino acid (II) by means of POCl3/pyridine produces amide (III). Subsequent condensation of (III) with bis(dimethylamino)t-butoxymethane affords enamine (IV), which is further hydrolyzed to aldehyde (V) under acidic conditions. Treatment of aldehyde (V) with trifluoromethanesulfonic anhydride and pyridine produces the vinyl triflate (VI)

合成路线图解说明:

Displacement of the triflate group of (VI) with the pyrimidinyl thiol (VII) yields the vinyl sulfide (VIII). Then, deprotection of (VIII) by means of trifluoroacetic acid and triethylsilane gives rise to the title compound

Drug Information Express,Drug R&D,Chemical Database,Patent Search.
Copyright © 2006-2026 Drug Future. All rights reserved.Contact Us