【药物名称】
化学结构式(Chemical Structure):
参考文献No.689306
标题:Synthesis and biological evaluation of potent isonipecotamide-based vitronectin receptor antagonists
作者:Ghosh, S.; et al.
来源:224th ACS Natl Meet (Aug 18 2002, Boston) 2002,Abst MEDI 94
合成路线图解说明:

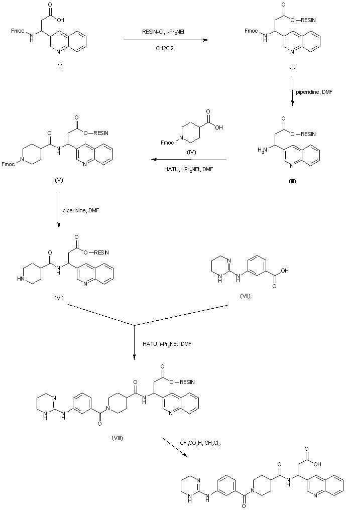
The title compound is obtained by solid-phase synthesis using a 2-chlorotrityl chloride resin: Attachment of N-Fmoc-3-amino-3-(3-quinolinyl)propionic acid (I) to the chlorotrityl resin provides the protected amino acid-bound resin (II). Removal of the N-Fmoc group of (II) is achieved by treatment with piperidine in DMF to yield (III). Acylation of amine (III) with N-Fmoc-isonipecotic acid (IV) employing HATU furnishes amide (V). After Fmoc group deprotection in (V) with piperidine, the resultant amine resin (VI) is coupled to the guanidino acid (VII), producing resin (VIII). The title compound is finally cleaved from the resin by treatment with trifluoroacetic acid.

Drug Information Express,Drug R&D,Chemical Database,Patent Search.
Copyright © 2006-2026 Drug Future. All rights reserved.Contact Us