【药物名称】
化学结构式(Chemical Structure):
参考文献No.689305
标题:New hydrophobic benzo[b]thiophenesulfonamide 1,1-dioxide as potential antineoplastic agents
作者:Villar, R.; et al.
来源:Drugs Fut 2002,27(Suppl. A),
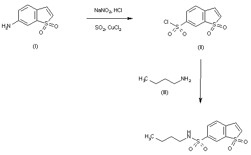
合成路线图解说明:

Diazotization of 5-aminobenzo[b]thiophene 1,1-dioxide (I), followed by treatment with sulfur dioxide and cupric chloride gives rise to the sulfonyl chloride (II). Subsequent condensation of acid chloride (II) with butylamine (III) produces the corresponding sulfonamide.

Drug Information Express,Drug R&D,Chemical Database,Patent Search.
Copyright © 2006-2026 Drug Future. All rights reserved.Contact Us